- 易迪拓培训,专注于微波、射频、天线设计工程师的培养
决策概率的接入网选择
其中,C,μ,ε,是正值常数,而pmax是价格的最大值。实际上,由于系统容量等的限制,网络为用户提供的接人带宽不是无限大,因此,网络的收费也不会是无限大。所以存在价格的最大值,且满足pmax<∞。所选的函数形式也与广泛用于经济学中的Cobb-Douglas要求曲线有一定关系。事实上,决策概率Ai(sj,pj,δj)可以是任何一个满足条件式(4)-式(7)的函数,即文中所得到的结论并不限于式(8)的特殊形式。
2 网络选择算法
如前文所述,下一代网络系统中,多个异构网络覆盖同一地区将是一个很普遍的现象。不同的网络为用户提供不同的接入带宽以满足用户各种需求。而对于那些位于多网络重叠覆盖区域的用户,有理由相信他们能够且需要在这众多网络中选择最适宜的网络进行接入。多模、变模技术使移动终端有能力进行异构网络的接入选择,而提出的接入网络选择算法则用于移动终端选择一个最合适的无线接入网络。多个异构网络通过广播消息,向用户广播其接入带宽。移动终端在收到该广播消息的基础上通过计算所提出的决策概率的值,从而决定哪个网络最适宜接入。
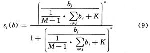
进一步,在描述用户对QoS的感知时一般比较通用的函数形式是S形曲线函数。因此,本文提出的满意度函数也同样采用S形曲线。在综合考虑所有网络提供的QoS参数后,用户对网络j提供服务的满意度可表示为如下形式:

其中,v≥2;K是可调整的参数,通过他区分不同用户的满意度;M表示用户可收集到M个网络的信息。这里假设用户的满意度对其上限做了归一化处理,即随着bj的增大,满意度渐进于1。
对于价格的考虑,有很多文献提出了不同的定价方案,但到目前为止,这些定价策略的可行性有待进一步研究。因此,为了使本文中所提出的接入网络选择算法在实现时更易操作,本文采用价格与接入带宽呈线性关系的定价策略,依据此策略网络j的定价为:

其中k是一正值常数,bj为网络j为用户提供的接人带宽。
作者:陈 杰,余 凯,张平 来源:中电网
上一篇:多业务接入平台技术介绍
下一篇:光纤接入网技术综述及优劣分析


