- 易迪拓培训,专注于微波、射频、天线设计工程师的培养
FMT多载波技术及其SystemView仿真实现
摘 要: 在无线通信中,高速数据传输常常受限于ISI的影响,而FMT多载波技术采用并行处理方法能有效地突破这种限制。介绍了FMT多载波的理论推导,设计了FMT+QPSK的应用实例,结合SystemView软件给出了仿真结果。
在典型的无线信道中,由于发送信号的多次反射导致多径传播、信道时间色散特性、信道群延时等储多物理因素,高速率通信常常受限于码间串扰(ISI)的影响。FMT多载波技术是一种突破信道物理限制的较好解决办法,其基本思想是将一个高速率的数据流分成许多低的子数据流,以并行的方式调制在多个子载波上,这样可以降低每子信道传输速率,使符号持续时间比信道的最大延迟小,从而减小符号间串扰的影响。Cherubini于1999年在JSAC中首次提出FMT多载波调制技术,并将其应用于有线VDSL高速信息传输[1],同时,基于FMT的调制方案被ITU-T接纳为VDSL的备选方案[2]。本文重点探讨FMT技术在无线高速数据传输中的应用。
1 FMT多载波技术
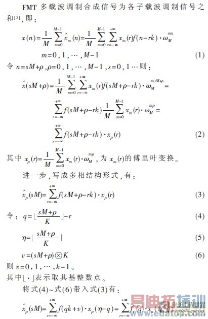
FMT多载波调制技术通过非临界采样处理和滤波实现对频谱控制,使各子信道互不重叠,以达到子信道正交,从而能够避免因此而产生的信道间干扰(ICI),保证了系统的性能。FMT系统实现框图如图1所示,左边部分为FMT调制,多路(M路)并行数据流经过上采样(K倍)后进入多路低通滤波器,然后对各路分别进行不同的载波调制,调制后的数据合成一路;右边部分为FMT解调,进入的数据与不同的载波相乘完成下变频后形成基带信号,基带信号完成低通滤波后,进行K倍下采样,恢复出原始数据。由于要进行正交调制处理,直接采取多路信号分别复数相乘无法保证各子载波的正交性,并且直接实现多路滤波也会占用较多资源,因此需采用等效并行方法才能实现FMT技术。

由上述推导可以看出,FMT的调制可以采用IDFT和多相滤波结构实现,等价的高效实现如图2所示。

作者:侯昌磊 来源:微型机与应用2010年第19期


