- 易迪拓培训,专注于微波、射频、天线设计工程师的培养
EDFA在无线通讯中的应用
2 EDFA的级联应用
2.1 EDFA的级联结构
EDFA对光信号功率的放大,特别在无线光通信大功率(瓦级)应用中,常常采用级联的方式,比如两级或者三级放大。之所以采用级联的方式,是因为在EDFA的掺铒光纤(EDF)中插入一个光隔离器,构成带光隔离器的两段级联EDFA,由于光隔离器有效地抑制了第二段:EDF的反向自发辐射(ASE),使其不能进入第一段EDF,减少了泵浦功率在反向ASE上的消耗,使泵浦光子更有效地转换成信号光能量,从而可以明显改善EDFA的增益、噪声系数和输出功率等特性。本文采用丽级级联放大,将1~2 mW的1 550 nm光信号,经EDFA放大到1 W左右。级联结构如图3所示。

图为 EDFA 两级级联结构
光信号由LD激光器产生,是已调制的信号,第一级放大采用单包层掺铒光纤放大器,980 nm单模半导体激光器作为泵浦源,将光功率放大到50 mW附近。第一级采用单模半导体激光器泵浦,先将光信号稳定可靠的放大到一定功率,保证了整个光信号的完整,又为下一级光放大提供了较高的光功率基础。第二级采用双包层光纤放大器,多模半导体激光器泵浦源将光功率放大到1 W左右。双包层光纤放大器纤芯比单包层纤芯大,泵浦功率可以有效地耦台到纤芯中,使第二级光信号的输出功率可达到瓦级。
2.2 EDFA级联应用的增益
2.2.1 增益计算
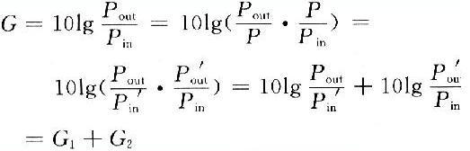
对EDFA级联的整体光功率增益:

其中:Pout表示EDFA两级放大后的输出光功率,Pin表示需要放大的输入光功率。
在本文中,光放大采用了两级级联放大,第一级增益为G1:

其中第一级的输出为第二级的输入,P''out=P''in=P,所以:

即,整体增益等于两级增益之和,本文的整体光功率增益为:

第一级增益为17 dB,第二级增益为13 dB,1 W的光功率经过准直聚焦,再有光学镜头发射到大气信道,大大提高了光信号的有效传输距离。
1 2 3
上一篇:光纤制导技术在潜艇武器系统中的应用
下一篇:智能家居系统嵌入式无线传感器网络设计


