- 易迪拓培训,专注于微波、射频、天线设计工程师的培养
GPS接收机中高频通道的仿真
目前,GPS系统已被广泛地应用到人们生活的各个领域。随着GPS定位理论研究的不断深入以及硬件的不断改进,GPS定位系统也日益完善。本文将从软件实验的角度分析GPS接收机高频通道的工作原理;在此基础上,设计一个增益分配方案,分析下变频电路的噪声特性,同时给出高频通道电路在System View平台上的系统仿真结果。

1 接收机的天线和传输损耗
GPS信号由于使用了码元速率fb1=1.023MHz的扩频码(C/A码),调制后信号将占用2.046MHz带宽。L1波段(1575.42MHz)信号的功率谱密度示意图如图1所示。扩频后信号带宽在fL1=1575.42MHz中心频率的带宽为2.046MHz,接收机天线的带宽覆盖范围至少应满足fL1±fb1=1 575.42±1.023MHz。
接收机接收的最小功率必须大于-160dBW(-130dBm),为保证这一点,C/A码调制的L1载波卫星发射功率必须达到21.9W (13.4dBW也即43.4dBm)。如果发射机的输出功率为43.4dBm,按最小接收机输入电平-130dBm计算,即感应在接收机天线上的信号电平最小为-130dBm,则后面仿真所列的实验数据都是在假设传输损耗为173.4dB时得到的。
2 接收机高频通道设计
2.1接收通道工作原理
GPS接收机将天线接收的L1波段粗码(C/A码)调制的扩频信号经滤波、预放后,传到后置放大器进行再放大,混频得到较低的中频信号。这样,经过下变频后,中心频率从fL1移到了中频fIF,但是频谱中各分量之间的相比关系并不改变。以三级下变频为例,接收通道的模块图如图2所示,其中天线、滤波和放大器1构成动态天线部分。

RF载波下变频后形成的中频信号中心频率:fIF3=fL1-fLO1-fLO2-fLO3=1575.42-1400-140-31.111=4.309MHz。其中,fLO1、fLO2和fLO3为三级本振频率。混频的相关频率如表1所示。

2.2 接收通道增益设计
现在计算从输入端到二次混频后的总增益。当第三次混频输入正弦电压的有效值达20mV时达到硬限幅。按最小接收机输入电平约-160dBW(-130dBm)计算,在50Ω的输入阻抗上的电压为:

按从输入端到通道限幅器前总增益大于109dB计算,各级增益分配如下:
前置放大器增益:19dB;
2m电缆损耗:-2.5dB;
后置放大器增益:50dB;
二次混频增益:-10+(-7)=-17dB;
中频放大器增益:80dB;
合计总增益:129.5dB。考虑到接收机动态下信号强度下降8dB,这样输入到限幅器输入端总增益为121.5dB。如此设计的通道总增益满足整机灵敏度要求。
大部分混频变换增益(75dB)发生在第三次混频——将第二次35.42MHz的IF信号变换到IF输出频率4.3MHz处。因此SAW(声表面波)滤波器的输出是IF链路上对外部干扰最敏感的部分。第三次混频的增益控制范围为60dB。
2.3 通道噪声特性分析与计算
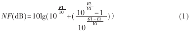
在GPS接收机中整个RF前端的噪声特性(NF)如式(1)所示:

其中:F 1:动态天线LNA的噪声特性(dB);
F 2:射频—中频转换模块(除IF滤波器外的所有电路模块)的噪声特性(dB);
G1:动态天线LNA的RF信号增益(dB);
L1:LNA之后由于RF滤波和电缆引入的RF信号损耗。
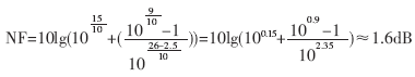
这里,取动态天线LNA的增益+26dB,噪声特性1.5dB;取射频—中频转换模块(例如GP2015)的噪声特性为9dB;从动态天线到射频前端 (包括附加的RF陶瓷带通滤波器)的同轴电缆长度引入的损耗是可变的。假设电缆长2m,带通滤波器插损(考虑整体损耗L1)为2.5dB。因此由式(1) 可得:

则接收机高频通道的噪声特性是1.6dB。
对于一个既定的动态天线的LNA噪声特性, LNA增益越高,在射频—中频转换部分整体接收到的噪声特性的独立性越小。从噪声特性上来说,GPS接收机最好使用带有低噪声放大特性的动态天线,天线带有合适的高LNA增益(>19dB)和非常小的电缆损耗(<-2dB)。
3 高频通道电路的系统仿真实现
依据图2高频通道的原理图,以及前面分析的增益分配和噪声特性,构建了它的System View系统仿真电路。
3.1 信号源
这里信号源采用了简单的方式,只模拟了一种C/A 码,然后与数据信号D码进行模2相加,再调制到L1载波上,经传输损耗后到达接收天线,接收天线收到的信号是引入噪声的扩频信号。噪声和干扰的仿真通过对仿真系统中加入假定噪声或干扰信号来实现。这里,噪声采用了温度噪声:阻抗=50Ω,噪声温度=300K。C/A码 以及经C/A码调制的D码图形如图3所示。其中,经C/A码调制的D码延时了5μs。

经L1载波调制的扩频信号和接收机射频前端接收到的RF信号如图4所示。由图可见,RF前端接收到的GPS信号淹没在噪声中。

3.2 接收到的中频信号
第一级混频产生的中频输出信号频谱图如图5所示。其中,RF滤波器通带中心频率设置在1575.42MHz,2MHz通带(-3dB);第1个IF滤波器的中心频率在175.42MHz,为两极点的chebyshev响应,0.1dB波纹。混频器为有源双平衡混频器。
由图5可以看出第一级中频输出频率在175.42MHz附近。
第二级混频产生的中频输出信号频谱图如图6(a)所示。其中,第2个IF滤波器为SAW带通滤波器。中心频率35.42MHz,通带2MHz(±1dB),插损14~18dB,止带>10dB(±2M),群延迟波纹<300ns(34.62~36.22MHz),最大群延迟<1.7ns。SAW 通带波纹0.8dB;SAW滤波器的频率响应特性用通常的有限冲击响应滤波器(FIR)来仿真。
将图6局部放大后的频谱图如图6(b)所示,可见第二级中频输出频率在35.42MHz附近。


第三级混频前利用限幅器将第三级混频输入电压限制在20mV以内。第三级混频产生的中频输出信号频谱图如图7所示。由图可见,第三级中频输出频率在4.309MHz附近。第3个IF滤波器的中心频率为4.3MHz。
本文从软件实验的角度分析了GPS接收机高频通道的工作原理;设计了一个高频通道的增益分配方案,同时分析了它的噪声特性;在此基础上,对高频通道电路进行了系统仿真。实际使用时可根据所需要的干扰容限、增益等要求酌情调整。本研究对开展相关领域的研究工作具有借鉴意义。对接收链路中的信道特性,笔者将予以进一步关注。
参考文献
1 Datasheet of GP2015:GPS receiver RF front end. http://www.zarlink.com
2 GP2000: GPS receiver hardware design application note. http://www.zarlink.com
3 datasheet of QuickMount micro GPS patch antenna AN-PC-131.http://www.macom.com
4 罗卫兵,张 桦,张 捷. System View动态系统分析及通信系统仿真设计.西安:西安电子科技大学出版社,2001
5 Kaplan E.D.(美)著,邱致和,王万义译.GPS原理与应用.北京:电子工业出版社,2002
6 王普德.GPS接收机高频通道和频率综合器设计. 导航,1992;(2)
作者:薛雅娟 , 郭勇 , 陈维锋 , 马丽丽 , 熊艳 来源:电子技术应用
上一篇:JP7-T的GPS接收机和定位系统设计
下一篇:无线IPPBX系统的设计与实现


