- 易迪拓培训,专注于微波、射频、天线设计工程师的培养
改善WCDMA手机用功率放大器线性度的新方法
4.1 低频因素对ACPR不对称性的影响
ACPR的不对称性本质上就是三阶交调分量IM3的不对称性。关于IM3不对称性产生原因的观点很多,主要归结为两类:Steve c.Cripps认为AM-AM效应与AM-PM效应之间的相移是产生IM3不对称性的原因;还有研究认为电路输入端的低频阻抗和二次谐波阻抗是产生IM3不对称性的直接原因。本文从偶次交调产生的低频因素人手,提出了一种新的影响W-CDMA手机用功率放大器ACPR不对称性的机制,即等效低通滤波器模型,通过仿真和测试验证了这种模型对于改善ACPR不对称性进而提高功放线性度的有效性。
W-CDMA系统采用5MHz的宽带调制,主信道内的信号可以看作是一个n音信号,这些n音信号的三阶交调分量IM3正好落在主信道两边的临近信道内,从而形成了临近信道的功率泄漏。临近信道泄漏功率与主信道信号功率之比就是ACPR。
为了简化计算,同时又不失讨论的一般性,我们首先分析双音信号产生的交调效应,然后再推广到多音信号。假设主信道内有两个输入幅度均为A、输入频率分别为ω1和ω2(令ω2>ω1)的双音信号,

由上式可以看出,由于三次方项的存在,在输出信号中产生了(2ω1-ω2)与(2ω2-ω1)两个三阶交调分量,左右两边的三阶交调分量是相等的。同时注意到,在输出分量中还存在由于二次方项所产生的二阶交调分量(ω2-ω1),此二阶交调分量的频率非常低,接近于直流分量。从表面上看,二阶交调产生的低频分量距离两个主信号ω1和ω2非常远,似乎不会对主信号产生影响,但是这个低频因素会沿着电源线和偏置网络反馈回输入端,从而与输入信号再次产生交调,图4所示即为低频因素反馈回功放输入端与输入信号再次产生二阶交调的示意图。
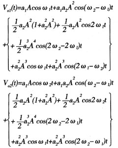
频率为(ω2-ω1)的低频因素与两个主信号ω1和ω2分别再次产生交调(为了简化计算,只考虑到二阶效应)后的输出为:

作者:公安部第一研究所 肖婷婷 周东平 来源:中电网


