- 易迪拓培训,专注于微波、射频、天线设计工程师的培养
综合通信训练模拟系统短波信道分布式实时仿真方法
1 引 言
自无线电技术发明并得到广泛应用以来,依靠电离层进行传播的短波通信就成为远距离无线通信的主要手段。为了有效训练通信装备操作人员,过去,在教学训练单位,通常大量时间用在装备原理的理论讲解上,由于不能提供真实的训练环境,即使花费了大量人力、精力,仍收不到良好的训练效果。其原因是在平时的通信装备实装训练中,由于缺乏发信方或收信方,特别是对于像战术对抗、应急操作等情况更是难能达成,致使训练只能停留在装备面板级的开关机训练层面。
近年来,随着计算机技术和网络通信技术的飞速发展,加上仿真技术的不断成熟,为我们提供了一个解决问题的有效途径。利用"模拟训练"既能够使受训人员进行基本操作使用训练,而且还能够进行复杂通信环境下通信业务综合训练。基于此,研制了综合通信训练模拟系统。本文是综合通信训练模拟系统中关于短波通信信道实时仿真问题的讨论。
2 短波信道对信号传输的影响分析及仿真模型
2.1 对信号传输的影响分析
通常情况下,无线电波通过媒质产生失真的原因有:一是媒质的色散效应,二是随机多径传输效应。根据观察表明,短波电离层反射信道是一种时变色散信道,它具有时间、频率和空间三种选择性衰落,对通信系统的稳定性和可靠性有很大影响。首先,信道输入信号由于电离层的多径效应会引起信道时间色散,它使发射信号的幅度减小,甚至完全消失,致使通信系统接收信号在频域上产生了频率选择性衰落,这是造成短波通信中出现突发错误的主要原因。其次,信道输入信号由于电离层多普勒效应会引起信道频率色散,由于各个路径长度随时间的变化,表现出频率散布,使发射信号的频率结构发生变化,相位起伏不定,致使通信系统接收信号在时域上产生了时间选择性衰落,从而造成数据信号的错误接收。
2.2 信道仿真模型
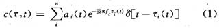
通过上述分析可知,短波信道在时域和频域都是时变的。根据对短波信道特性的统计分析,接收端接收信号的幅度服从Rayleigh分布,接收信号的相位服从(0,2π)均匀分布。假设分析只限于有限频带和足够短的时间,可以认为信道基本上是稳定的,从而可以选用等效离散时间模型来表示,如图1所示。

这里每个抽头对应一条可分解的传输路径,每条路径上,信号受到信道的幅度和相位的双重调制,相当于在每条路径上增加了频率扩展和多普勒频移,信道冲激响应为:

式中,i为路径标号,n为路径总数,fc为信号载频,ai(t)是第i条路径上接收信号的衰减因子,τi(t)是第i条路径上的传输时延,c(τ,t)表示在t-τ时产生的脉冲经过信道后t时刻引起的响应。
若输入信号为s(t),则输出为:

式中,sl为低通等效信号,*表示卷积。r(t)为接收信号,表示接收信号是由许多不同衰减的幅值与不同延时的多径信号叠加而成。
3 信道仿真关键技术
基于短波电离层反射信道仿真模型,建立了如图2所示的短波信道仿真总体结构。图中示出了2条多径的短波信道总体结构框图。

短波信道仿真总体结构是由高斯噪声生成器(AWGN)、低通滤波器(LPF)、Hilbert变换以及等效离散时间模型组成。
3.1 抽头系数的产生
短波信道模型的抽头系数是期望为零、方差为σ2的相位独立的高斯过程,它可由高斯白噪声通过一个低通滤波器得到。
(1)高斯分布随机序列:本文首先采用混合同余算法产生均匀分布的随机数序列,其迭代公式如下:

式中c≠0,增量c与模数m互质,a称作乘子,a-1必须是模数m任意一个素因子的倍数,如果m是4的倍数,则n-1是4的倍数,发生器的最大周期为m。各项参数本文采用了标准C语言的定义,即m=232,c=12345,a=1103515245。以混合同余算法为基础,经过适当的变换即可得到高斯分布随机序列,具体实现流程如图3所示。

需要注意的是进入AWGN模块前需要指定信噪比。
(2)高斯成形低通滤波器:前述产生的两个高斯型变量G1,G2经过低通滤波后则为等效离散时间模型的抽头系数,其仿真了多普勒频率扩展。为使每个分量的功率谱为高斯型,低通滤波器所期望的幅度响应为高斯分布,为此,本文采用了Matlab设计的IIR滤波器中IIRLPNORM(n,d,f,edges,a)函数,利用IIRLPNORM函数构造低通滤波器,使其幅度响应逼近高斯分布,通过该函数可得到滤波器系数。该设计的采样频率是8 kHz,IIR滤波器的阶数为8,多普勒频率扩展范围是0.1~30 Hz。
实现过程中,首先采用Matlab产生符合不同衰落要求下低通滤波器的系数矩阵D,将系数矩阵D以数据文件形式保存至硬盘中,为模拟系统工作时生成衰落所需的高斯控制信号做准备。
3.2 希尔伯特(Hilbert)变换

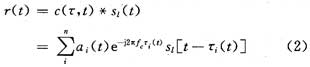
本文设计的系统中,首先设计了一个低通滤波器,其冲激响应为hlp(t)。如图2所示,输入的音频信号分别经过带宽为3 kHz的带通滤波器和3 kHz带宽的Hilbert滤波器,将输入信号变换成为一个复信号I和Q。两个带通滤波器的冲激响应为:

式中,T为采样周期,N为滤波器阶数,f0为中心频率。
输入信号成为复信号后,可以按照所需路径数(实际系统中是通过总控导演台设置完成,框图示意了两路信号)选择相应的路径和延迟。
4 分布式实时仿真设计与实现
综合通信训练模拟系统主要由总控导演台、信道仿真台、收(发)信方仿真台、系统监控台、通信设备模拟器(单片机实现)、串口服务器和接口等部分组成。各仿真台站计算机通过局域网相互连接。
4.1 分布式实时仿真设计
基于面向对象的程序设计方法,将信道仿真台的信道仿真系统软件划分为系统初始化模块、滤波器数据库模块、AWGN数据生成模块、信道算法(如短波信道的多径、衰落等)实现模块和各类后台线程(信源数据实时接收线程、合成数据实时传送线程和总控数据接收线程)。其中初始化模块包括各数据存储单元的初始化和显控设备的初始化,这一模块在系统启动时运行。
为解决模型逼真度与解算速度的问题,在程序设计上采用了分布式数据解算方法,充分利用系统硬件资源,以保证程序具有足够的速度和灵活性。
信道仿真系统是利用局域网内的4台计算机进行多机联合仿真。这4台计算机按照所担负的任务分别命名为:Matlab数据库计算机、信源数据计算机、信道解算计算机、数据合成与传送计算机。各计算机间通过UDP/IP协议实现数据交换和握手通信。各模拟器终端利用单片机实现收信与发信,单片机与计算机之间、计算机与计算机之间并、串行工作。
4.2 基于VC++的分布式实时仿真实现
基于上节的设计方案,采用VC++语言实现了一个集成化的通信信道仿真环境,以实现通信信道模型仿真和信号源实时产生等功能的有效调度和管理。该系统通过信道仿真模型、算法、数据、输入输出参数等的统一管理,将各个功能模块以及仿真结果分析与表示等集成在一个仿真环境下,加强系统各部分之间的联系与交互,进而完成模拟设备收发数据的实时产生、解算与传送。
图4显示了信源数据计算机产生高斯噪声和通信信号数据帧生成的程序执行路径。程序执行时,首先将数据存储单元初始化,同时启动与主控导演台和信道解算计算机之间的数据交换线程。线程一接收总控导演台用户根据既定场景、任务条件下设定的各项参数,同时唤醒主程序进行数据生成,产生数据帧的同时,通过线程二将数据传送至信道解算计算机。

图5显示了运行于信道解算计算机上的信道算法(如短波信道的多径、衰落等)模块的程序执行路径。系统启动后,程序进入等待状态,由信源数据计算机触发运行。

5 结 语
针对综合通信训练模拟系统结构复杂、数据运算量大、实时性要求高等难题,本文给出了一种分布式仿真的设计方案。该方案充分利用了综合通信训练模拟系统中的计算机资源,实现了对传输信号的实时处理,能够实时模拟通信信道环境。图6给出了频率为500 Hz的原始输入正弦信号谱,图7则是500 Hz正弦信号经前述短波信道模型(两条路径)的计算机仿真结果图,可以看出原始信号变为有两条多径,并且每一条多径信号被分别加上了不同的多普勒频移和频扩。这一仿真结果与理论分析相吻合,从另一侧面验证了设计方案的正确性和合理性。

目前,综合通信训练模拟系统已经投入使用。使用结果表明,系统性能稳定,实时性好,程序结构设计合理,较逼真地模拟了通信环境,满足操作人员实际操作训练的需要。

上一篇:无线LAN和无线WAN接入技术相结合
下一篇:全球3G精品网典型案例分析:澳洲电信


