- 易迪拓培训,专注于微波、射频、天线设计工程师的培养
高速列车互联网络无线传输DS-CDMA系统设计
录入:edatop.com 点击:
图2给出了基于FPGA的DS-CDMA无线传输系统系统结构。直序扩频通信发射机结构见图2(a)。串并转换模块将串行数据转换成2位并行数据,接着进行差分编码转换成DQPSK码元
。差分编码后与PN码扩频,输出扩频信号
,其码元速率为
的扩频码长度倍。在
进行滤波前,采样率增加,使后面的正交调制满足Nyquist定律。上采样4倍后,扩频信号使用两路独立的SRRC进行脉冲成形。

图2 基于FPGA的DS-CDMA无线传输系统结构
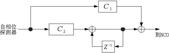
载波恢复模块是直序扩频接收机最关键的模块,如图2(b)所示。当采样与码元不同步时,需要利用载波同步算法使其达到同步。通常,需要采用一种算法从采样数据获得载波信息。本文采用直接同步法中的Costas环。环路滤波器的结构如图3所示。

图3 环路滤波器方框图
作者:邵舒渊 卢选民 西北工业大学电子信息学院 来源:电子产品世界
上一篇:八大无线技术未来两年引领风骚
下一篇:合理选择3G传输方案


