- 易迪拓培训,专注于微波、射频、天线设计工程师的培养
空时/频编码在OFDM系统中的应用
0 引言
OFDM在频域把信道分成若干正交子信道,可以有效地抵抗符号间干扰ISI。空时编码和空频编码能够充分利用空间、时间和频率上的分集,因此将空时或空频编码与OFDM相结合构成空时/频编码OFDM系统,能够大幅度地提高系统的信道容量和传输速率,并能有效地抵抗衰落、抑制噪声和干扰。
1 空时编码
空时编码主要包括空时分组编码(SFBC)、空时网格码(STTC)和分层空时码(LST),目前研究的空时分组编码大多是正交空时分组编码,正交空时分组编码以其编解码简单的特点得到了广泛的应用。
为简化计算,这里以2根发送天线和1根接收天线的Alamouti发送分集-空时分组编码系统为例。把从信源来的二进制信息比特每个比特分为1组,对连续的2组比特进行星座映射,得到2个调制符号x1、x2。然后把这2个符号送入编码器按照下面的方式进行编码:

经过编码后的符号分别从2副天线上发送出去。假设在时刻t发送天线1和2到接收天线的信道衰落系数分别为h1(t)、h2(t),假设信道为块衰落,记接收天线在时刻t和t+T的接收信号分别为r1、r2,有:

n1、n2表示接收天线在时刻t和t+T时的独立复高斯白噪声,假设噪声的均值为0,每维的方差为N0/2。
根据最大似然译码得解码后的信号为:

2 空频编码
空频分组码也是利用正交原理设计各发射天线上的发射信号格式,是一种空间域和频域联合的正交分组编码方式。以二发一收的空频分组码系统为例,没一个OFDM符号表示为,每一符号有N个子载波,输入的信号经过串并变化后为x=[x(0),x(1),…,x(N-1)]T,与空时编码器不同的是,空频编码器对x内的每2个相邻子载波上的信号x(k)、x(k+1)进行编码,编码后得到2个新的OFDM符号,把它们送到2根发送天线上。
对x进行SFBC编码,编码采用类似于Alamouti提出的STBC分组变换方式,有:

空频码字的基本形式与空时码是一样的,但含义却不一样,空频码字的含义是:2根天线的第1个子载波传输的码字分别是x(k)、x(k+1),而2根天线的第2个子载波传输的码字分别是-x*(k+1)、x*(k)。2个信道的冲激响应分别为h1、h2,其FFT变换分别为H1、H2,则接收端的信号可以表示为:
Y(k)=H1(k)X1(k)+H2(k)X2(k)。 (6)
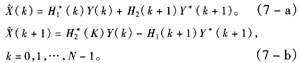
SFBC编码后的码组是正交的,这种正交性使得接收端能够线性地区分来自不同发射天线的信号,在接收端进行线性的解码。经过解码后第k个和k+1个子载波分别为:

SFBC编码中N个子载波构成的不同路数据在不同天线上发送。各个天线之间的信道是相互独立的,同一子载波经过不同的深衰落,最后在接收端经过解码合并达到抵抗频率选择性衰落的目的。
3 基于空时/频编码的OFDM系统
3.1 MIMO-OFDM系统模型
设移动通信系统中,基站采用Nt个发射天线,移动终端采用Nr个接收天线,信息数据流送入空时或空频编码器后,分成Nt路并行数据流,再分别经过IFFT调制单元后由Nt副天线同时发送出去。
假定系统加了适当的保护前缀,且保持严格同步,记第l个符号周期内发送天线i,接收天线i上的信号依次为Xi[l,k]、Yj[l,k],则在接收天线j上经解调后的OFDM基带等效信号可以表达为矩阵形式:

式中,Wj为N×1的列矢量,代表信道噪声;Hij为发射天线i与接收天线j间的信道频率响应,Hij=[Hij[l,0],Hij[l,1],…,Hij[l,N-1]]T;Xi=diag(Xi[l,0],Xi[l,1],…,Xi[l,N-1]),为一对角阵。
作者:吕侠,肖丽萍,马凌宇 来源:无线电通信技术


