- 易迪拓培训,专注于微波、射频、天线设计工程师的培养
基于GSM-R的铁路通信网络设计
1 引言
GSM—R是为铁路通信设计的综合专用数字移动通信系统.它是在GSM蜂窝系统的基础上增加调度通信功能和适用于高速环境下的要素.可满足国际铁路联盟提出的铁路专用调度通信要求。在GSM—R网络设计中,应用GSM—R理论,提高了铁路通信系统的可靠性,并解决了信道拥塞率高、呼叫成功率低等问题,降低网络建设成本。
2 GSM—R网络
GSM—R网络主要包括无线网络、交换网络及有线传输网络,其中无线网络包括核查基站参数,规划频率,划分位置区,确定话务负荷、阻塞率、基站天线角度、发射功率等参数以及降低同频干扰和非同频干扰等;而交换网络则包括确定基站频率、小区参数(CDD)和越区切换参数等。
GSM-R核心网络采用二级网络结构,即设立移动业务大区汇接中心(TMSC)和本地业务端局(MSC),汇接中心之间网状网连接。小区一般设置是在沿路轨方向安装定向天线,形成沿路轨的椭圆形小区;在话务量较大但火车速度较低的编组站内可采用扇形小区覆盖;而人口密度低的低速路段和轨道交织处则采用全向小区覆盖。每个小区有一个或几个基站收发信机,数目的多少由话务量决定。
列车时速超过140 km/h,采用GSM信号,可降低通信质量,提高误码率。而误码率的增加会降低话音质量,甚至当服务质量达到最低阈值时,特别是与ERTMS(欧洲铁路运输管理系统)和ETCS(欧洲铁路控制系统)有关的数据将被中断,从而导致列车不必要的停车或减速,因此需要采用双网覆盖系统以提高系统的可靠性。
2.1 无线网络部分
(1) 无线网络的场强覆盖场强覆盖往往与具体的地理位置分布有关,根据具体的地理环境和基站的实际情况进行调整。采用提高基站的发射功率,增加天线挂高,调整天线水平角或垂直角以及安装直放站等方法改善下行链路的信号覆盖。一般来说,在铁路或公路沿线主要考虑沿线的带状覆盖分布,可采用双扇区型基站,每个区 180°;天线采用单极化3 dB波瓣宽度为90°的高增益定向天线,两天线相背放置,最大辐射方向与高速路方向一致。如果沿路方向话务量很低,考虑到设备成本,采用全向天线变形的双向天线,双向3 dB波瓣宽度为70°,最大增益为14 dB,如HTSX一09—14型天线。
(2)无线参数设置在GSM—R网络中,与无线设备和接口有关的参数最能影响网络的服务性能,其中包括小区选择、控制信道、无线测量、功率控制、切换控制等参数,这些参数对小区覆盖、信令流量分布、网络业务性能等具有重要影响。调整无线参数的基本原则是综合考虑实际无线信道特性、话务量特性和信令流量承载情况,充分利用现有的无线资源,通过业务量分担方式均匀全网的业务量和信令流量。
(3)话务量设置 其目的是预先尽可能均衡移动通信网的话务量.使其整个网络业务负荷均匀.尤其是在一些人口密集的商业区,优化话务量时应注意交换机阻塞。
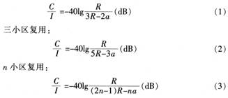
(4)重叠区的划分青藏线路段根据实际地理环境恰当设计重叠区域大小,避免出现弱场区。重叠区可根据频率复用方案得到移动台接收C/I值,重叠区的宽度a为:两小区复用:

2.2 频率规划
频率规划是在建网过程中,根据某地区的话务量分布分配相应的频率资源实现有效覆盖。频率规划要考虑符合国家无线电管理规定、频率复用效率、同频及邻频干扰,尤其是在同一区域不同移动网络,同频段内相邻的信道使用时。频道分配时应考虑同频道干扰、邻频道干扰和互调干扰等因素,并使干扰保护比满足:同频道干扰保护比C/I≥12 dB,邻频道干扰保护比C/I≥一6 dB,偏离载波400 kHz时的干扰保护比C/I≥一41 dB。同小区载波最小问隔至少600 kHz,相邻小区频率间隔至少400 kHz。频率规划还要考虑基站站型和频率规划方法。基站站型是频率规划的前提,根据话务量和目标阻塞率确定基站的站型,根据话务量A和阻塞率E,查找对照表(表1)得出某小区需要配置的频点个数n。频率规划首先设置频率参数,包括控制信道是否单独分配和业务信道的频率复用方式。

在频率规划中,采用定向天线覆盖和调整天线高度和倾角的方法解决同频干扰,通过提高滤波器精度和合理分配信道来降低邻道干扰,为了避免在相邻小区分配连续的频率,可采用最大的相邻小区间频率间隔。
2.3 有线传输网络
从传输技术上看,与PDH体制相比,SDH体制具有传输容量大,网络配置灵活性和生存性高、兼容性高,维护管理功能强等特点,因此传输网应以SDH为基础.有线传输网络采用光缆。目前,ITU—T已在G.652、G.653、G.654和G.655光纤中分别定义了4种不同的单模光纤。其中G.652,光纤和G.655光纤均可适用于传输网,其主要参数如表2所示。

从表2参数看出,G.652光纤的色散系数在l 550 nm波长为15~20 ps/nm.km。当传输10 Gb/s的TDM和WDM系统时,为了增加中继距离,需要介入具有负色散系数的光纤进行色散补偿。G.655光纤1 530~1 560 nm波长区色散通常为1.0~6.O ps/nm.km,传输相同的10 Gb/s系统时,因色散很低.无需采取色散补偿,从设备成本上考虑,采用G.652光纤的高速率系统远远高于G.655光纤系统。
作者:姚晓宁 来源:中电网
上一篇:毅航3G增值业务解决方案
下一篇:看定位技术如何提高无线网络安全性


