- 易迪拓培训,专注于微波、射频、天线设计工程师的培养
W-CDMA模拟预失真功率放大器设计
0 引 言
随着无线通信技术的发展,各种用于射频功率放大器的线性化技术被进一步研究和应用。尤其是窄带CDMA和第三代移动通信等技术的发展,对功放的线性度提出了更高的要求。在W-CDMA等无线通信系统中,如果采用一般的高功率放大器,由于功率放大器的交调失真,将会出现频谱再生效应,从而干扰相邻信道,甚至产生误码。因而,功率放大器的线性化技术越来越受到关注。目前常用的三种技术分别是:前馈技术(Feedforward)、反馈技术(Feedback)和预失真技术(Pre-Distortion)。
在这些线性化技术中,前馈法可以得到很高的线性度,但结构复杂而且昂贵。反馈法有其致命的缺陷,如不稳定,带宽有限。预失真技术中,基带信号中预失真系统需要正确对比源信号和反馈信号,对环路延时补偿有很高的要求,同时系统结构比较复杂;而模拟预失真技术有其结构简单,成本低,线性度较好等优点,因而已成为中小功率放大器进行线性化的理想技术。
针对W-CDMA直放站下行链路的线性度要求,利用预失真技术设计了一个平均发射功率为41 dBm的功率放大器。该设计采用一对反向并联的二极管产生非线性失真分量,并利用这个非线性分量补偿功放的非线性失真。
1 放大器的非线性
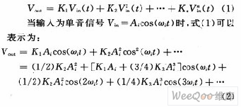
如图1所示,理想线性放大器的输入和输出关系可以表示为Vout=K1Vin,其中K1为放大倍数。但是作为半导体器件,当功率放大器的输入信号较大时,管子出现饱和现象,于是导致了输出信号压缩,产生高次谐波,引起失真。所以输出应该包括平方律项和三次项等高次分量,它的输出可以用幂级数式(1)表述:

从式(2)可以看出,由于系统的非线性特性,在输出信号中,除了有输入信号的频率外,还会出现新的直流分量和如同2ωi,3ωi,…等的谐波分量。如果输入的信号为双频信号Vin=A1cos(ω1t)+A2cos(ω2t),通过同样的分析可以发现,最终输出口的成分由支流成分、基波ω1和ω2、二次和三次谐波2ω1,2ω2及3ω1,3ω2、二阶互调分量ω1±ω2、三阶互调分量2ω1±ω2及ω1±2ω2等分量组成。一般情况下,仅2ω1-ω2和2ω2-ω1落在通带内。双音三阶互调是非线性中三次方项产生的,由于落在带内,故主要考虑的是非线性产物。这些非线性产物都会干扰载波信号,造成交调失真、谐波失真等非线性失真。当多载波输入时,影响较严重的是三阶交调失真。

2 模拟预失真原理
从原理上看,预失真线性化技术是改进线性特性的一项最简单的技术,其原理如图2所示,即在RF放大器的前面加入预失真器,预失真器的特性与RF放大器的特性精确匹配,当信号经过预失真器和RF放大器组成的级联系统时。由于预失真器与RF放大器的特性相互补偿效果,使得输出信号为完全无失真信号,从而达到线性化目的。这种补偿原理如图3所示,图3(a)与图3(b)曲线互相补偿,得到图3(c)完全无失真的输出信号。
3 模拟预失真的实现
W-CDMA直放站下行链路要求实现41 dBm的功率输出,IM3和IM5均小于-50 dB,故设计如下电路以满足上述要求,整个设计如图4所示。

由图4可以看到,该方案采用的是一种双环结构。第一个环路由功分器将输入信号分成两路,一路经延迟器延迟;另一路经预失真发生器失真、衰减、再移相后,与延迟信号耦合,形成预失真信号产生部分的环路。第二个环路则是将预失真环路生成的信号再进行衰减,移相后与功放输入的延迟信号耦合,形成整个功率放大器部分。这种结构有效地减小了所需主信号受环路的影响,而失真部分又能够得到充分的补偿。同时,该电路在实际调试中比较容易调节,是一种实用性很好的电路结构。
由于二极管是一种非线性半导体器件,对于一个输入余弦信号,二极管的输出是包含了非线性失真分量的余弦信号。所以,非线性发生器部分的设计采用反向并联的二极管来实现。实现电路如图5所示。

图5中,1和4分别是信号的输入端和输出端;2和3分别是信号的耦合端和直接输出端。两个反相并联的二极管D1,D2用来产生奇次谐波分量,经90°正交电桥的隔离端4输出,作为预失真信号。理想的3 dB正交电桥耦合端2接电阻R,用来消除二极管相对反射输出信号中残留的线性分量,而电容C用来降低载波信号,使之与预失真信号相比不至于过高。
作者:牟菲艳 叶宝盛 来源:中电网


