- 易迪拓培训,专注于微波、射频、天线设计工程师的培养
扩频抗干扰通信系统中长周期PIN码的设计
2 长周期码设计
本文根据需要设计了一种码时钟周期大于一年、相关性能与P码接近的PN序列,其原理如图2所示。

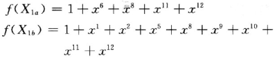
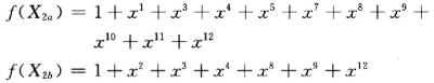
图2中4个12级线性移位寄存器的特征多项式分别为:


产生码周期为4095位的4个m序列。
根据复合码生成原理,码长度两两互素的几个码序列模2相加可以构成周期更长的复合码序列,并且长度为几个码长度之积。对这4个m序列分别予以截短,采用的方法是将X1a,X2a的码元数截短为4 092;将X1b,X2b的码元数截短为4 093;然后将截短序列X1a和X1b以及X2a和X2b分别进行模2相加,分别得到长度为4 092×4 093的长周期码,然后再对长周期码截短,分别截出码元数为15 345 000 b的X1和码元数为15 345 037 b的X2,再将X1,X2两截短序列进行模2相加得到更长序列X,最后X与3级线性移位寄存器所产生的m序列Y进行模2相加,构造成新的PN码。
利用该方法产生的PN序列,相关性能良好,容量大,且码的周期长。
假设时钟频率为10.23 MHz,则码元数为1 648 287 149 355 000 b,码元时间周期大于5年。
3 实验仿真结果
对产生的长周期PN序列的相关特性进行仿真,其自相关特性如图3所示,互相关特性如图4所示。

图3(a),图4(a)为4 095位m序列的相关特性图。从图3(a)中可以看出,码相位为零时自相关值最大为4 095,并且旁瓣值为-1;从图3(b)中可以看出,互相关值最大为479,与自相关最大值之比约为10 %。
图3(b),图4(b)为P码的相关特性图。自相关最大值为250 000,旁瓣值最大值为15 000,旁瓣平均值为500;互相关最大值为4 652,与自相关最大值之比约为1.8%。
图3(c),图4(c)为本文方法产生长周期码的相关特性图。自相关最大值为250 000,旁瓣值最大值为14 400,旁瓣平均值为400;互相关最大值为4 650,与自相关最大值之比为1.8%。
通过上述对比分析可以看出,长周期码具有与P码相类似的相关特性,虽然自相关性略差于m序列,但具有较好的互相关性能。
4 结语
在研究扩频通信PN序列设计原则与原理的基础上,提出了一种在10.23 MHz时钟频率下码周期大于5年,相关性能好的伪随机扩频序列产生方法。该方法通过对4个4 095位m序列进行截短及复合处理,得到中间序列,再与1个7位m序列进行复合操作,对PN序列的周期进行再扩展。经过仿真验证,该方法设计的PN序列相关性能优秀,周期很长,实现简单灵活,符合伪随机序列码的各种原则特性。
来源:21IC电子网
上一篇:基于3G网络的企业数据通信安全方案讨论
下一篇:无线网状网络的路由协议分析


