- 易迪拓培训,专注于微波、射频、天线设计工程师的培养
浅谈WCDMA系统的切换技术
(1)事件1A:在图中,小区2的导频信号强度逐步增加,当强度Ec/Io达到与激活集增加门限T_ADD的和为激活集最强的1小区导频强度时,并且维持一段时间T。此时,在激活集没有满的情况下,小区2被加入激活集中。
(2)事件1C:观察小区3和小区1的信号强度。小区3的信号强度逐步增强,小区1的信号强度逐步减弱,并且小区3的信号开始超越小区1的信号强度。假如小区3的导频信号强度为监测集中最好的导频信号,此时它的值达到最弱的1小区(激活集中最弱的小区)导频Ec/Io与替换滞后门限T_Replace之和,并且维持一段时间T。在激活集数目已满的状态下,小区3替代小区1,被加入激活集中。
(3)事件1B:在接下来的情况中,小区3的信号强度逐渐减弱。当小区3的导频信号强度弱到与激活集删除门限T_Delete之和为激活集最强的2小区导频强度时,并且维持一段时间T。作为激活集里最弱的信号,小区3将移出激活集。
下面将根据不同的触发事件的判决条件和事件1A,1B,1C的具体计算公式,对小区算法进行分析。
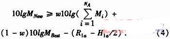
(1)1A事件
1A事件代表一个主导频信道进入报告范围,相对门限增加事件,一般用于软切换链路的增加。如果以下的触发条件被满足,则将该导频加入激活集。
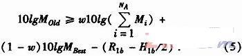
其中MNew是小区的测量结果,Mi是激活集的测量结果,N是当前激活集小区数目;MBest是激活集中载干比最大的小区的测量结果;W是有无线网络控制器发送给用户设备的加权参数,R1a是事件1A中由无线网络控制器发送给用户设备的报告范围常数,H1a是事件1A的滞后参数。
(2)1B事件
1B事件代表一个主导频信道离开报告范围,相对门限删除事件,一般用于软切换链路的删除。如果以下的触发条件被满足,则将该导频退出激活集。
(3)1C事件
1C事件代表当非激活集的某小区导频信号强度超过激活集中某小区的导频信号强度时的报告。该报告要求添加一条新的无线链路来替换原来激活集中的链路。

5 邻区配置
下面是在软切换的过程中,由于配置单向邻区而导致的掉话的案例:

如图2所示,在从花城基站到云山大酒店基站方向路测的过程中,发现小区切换掉话,而在相反方向路测过程中,切换没有掉话。分析数据发现,在从花城基站到云山大酒店基站中间的一段路段上,主要由花城基站中扰码为426的扇区信号覆盖,而不是扰码为424的信号覆盖。观察地形,分析原因为扰码为426的扇区前方不远处有高层建筑,信号经过反射,被传播到该路段上。检查邻区列表,发现云山大酒店基站扰码为414的扇区配置了花城基站扰码为426的扇区为邻区,而扰码为426的扇区没有配置扰码为414作为邻区,导致单向切换失败。此时,可以把扰码为426的扇区配置扰码为414作为邻区,问题得到解决。


