- 易迪拓培训,专注于微波、射频、天线设计工程师的培养
低压电力线信道噪声环境下捕获算法的改进
录入:edatop.com 点击:
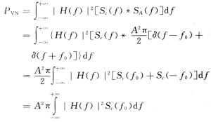
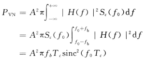
同理可得到
且背景噪声在下通带的输出功率为: 
由此可得,低压电力线上的背景噪声在上通带与下通带的输出功率值相同,即该背景噪声在上通带与下通带的输出值可以相互抵消。
2.4 频域窄带脉冲噪声
影响扩频接收机性能的另一个低压电力线信道噪声为:频域窄带噪声,它可通过如下N个独立的余弦函数叠加来描述:

式中:每个分量由它的频率、幅值和相位来描述。其中,频率在扩频载波附近的余弦分量对该系统影响最大。在此,取频率为扩频载波的余弦分量来分析,假设该频域窄带脉冲噪声为单频余弦干扰,该信号与进入接收机的有用信号是相互独立的,且与有用信号的载波同频、同相(最恶劣的干扰条件下),表示为:

且其对应的功率谱密度为:

由式(2)可得,单频干扰A(t)在接收机输出的平均功率为:

该单频噪声在上通带的输出功率为:

同理可得,该单频噪声在下通带的输出功率与其在上通带的输出功率值相同。
由此可得,该频域窄带脉冲噪声在上下通带的输出值相减后亦可相互抵消。
在讨论上、下通带输出的各类信号功率后,得出如下结论:低压电力线的信道噪声在上、下通带的输出功率值相同。此时,上、下通带的输出信号功率之差主要是有用信号与码自噪声之差。第2.2节已经讨论了有用信号与码自噪声之差比传统上通带输出功率的梯度变化大,即改进的滑动相关法扩大了同步与不同步情况下积分输出的差距,使系统更易于判断是否同步。所以该算法在低压电力线信道噪声环境下是可行的。
3 仿真实验与结果分析
在此采用Matlab R2006b工具,在低压电力线信道噪声环境下(背景噪声、频率在中频附近的窄带脉冲噪声),对扩频系统进行整体仿真。其中,伪随机序列码长为15位,采用BPSK调制,且中频频率为100 kHz。通过大量的数据记录和分析,可得到以下统计结果。
图2为仅加入高斯白噪声时,不同信噪比下,改进的捕获方法与传统的滑动相关捕获算法,在一定时间内完成捕获并无虚警的概率。

图3表示在低压电力线信道噪声环境下,改进的捕获方法在一定时间内完成捕获并无虚警的概率。

由图2可以看出,当信噪比较高的时候,改进方法与传统方法相比,其优点并不突出,当信噪比低于一18 dB后,改进捕获方法比传统方法的捕获概率高。可见,在信噪比较低的情况下,改进的方法比传统的方法有更高的捕获概率,能够有效地提高系统的检测概率和捕获性能。
由图3可以看出,改进的捕获算法加入低压电力线信道噪声后,其同步捕获概率相对于图3的改进算法,并无明显变化。由此可见,该改进的捕获算法适用于低压电力线上。
4 结 语
在此,提出一种适用于低信噪比低压电力线的改进滑动相关捕获算法,通过对低压电力线信道上各类噪声的理论分析和整体扩频仿真,得到了该改进的滑动相关捕获方法性能优于传统捕获方法的结论。该方法在低压电力线信道噪声环境下,既具有良好的抗干扰性能,又具有实际的应用意义。
编辑:小宇

由此可得,低压电力线上的背景噪声在上通带与下通带的输出功率值相同,即该背景噪声在上通带与下通带的输出值可以相互抵消。
2.4 频域窄带脉冲噪声
影响扩频接收机性能的另一个低压电力线信道噪声为:频域窄带噪声,它可通过如下N个独立的余弦函数叠加来描述:
式中:每个分量由它的频率、幅值和相位来描述。其中,频率在扩频载波附近的余弦分量对该系统影响最大。在此,取频率为扩频载波的余弦分量来分析,假设该频域窄带脉冲噪声为单频余弦干扰,该信号与进入接收机的有用信号是相互独立的,且与有用信号的载波同频、同相(最恶劣的干扰条件下),表示为:
且其对应的功率谱密度为:
由式(2)可得,单频干扰A(t)在接收机输出的平均功率为:

该单频噪声在上通带的输出功率为:

同理可得,该单频噪声在下通带的输出功率与其在上通带的输出功率值相同。
由此可得,该频域窄带脉冲噪声在上下通带的输出值相减后亦可相互抵消。
在讨论上、下通带输出的各类信号功率后,得出如下结论:低压电力线的信道噪声在上、下通带的输出功率值相同。此时,上、下通带的输出信号功率之差主要是有用信号与码自噪声之差。第2.2节已经讨论了有用信号与码自噪声之差比传统上通带输出功率的梯度变化大,即改进的滑动相关法扩大了同步与不同步情况下积分输出的差距,使系统更易于判断是否同步。所以该算法在低压电力线信道噪声环境下是可行的。
3 仿真实验与结果分析
在此采用Matlab R2006b工具,在低压电力线信道噪声环境下(背景噪声、频率在中频附近的窄带脉冲噪声),对扩频系统进行整体仿真。其中,伪随机序列码长为15位,采用BPSK调制,且中频频率为100 kHz。通过大量的数据记录和分析,可得到以下统计结果。
图2为仅加入高斯白噪声时,不同信噪比下,改进的捕获方法与传统的滑动相关捕获算法,在一定时间内完成捕获并无虚警的概率。

图3表示在低压电力线信道噪声环境下,改进的捕获方法在一定时间内完成捕获并无虚警的概率。

由图2可以看出,当信噪比较高的时候,改进方法与传统方法相比,其优点并不突出,当信噪比低于一18 dB后,改进捕获方法比传统方法的捕获概率高。可见,在信噪比较低的情况下,改进的方法比传统的方法有更高的捕获概率,能够有效地提高系统的检测概率和捕获性能。
由图3可以看出,改进的捕获算法加入低压电力线信道噪声后,其同步捕获概率相对于图3的改进算法,并无明显变化。由此可见,该改进的捕获算法适用于低压电力线上。
4 结 语
在此,提出一种适用于低信噪比低压电力线的改进滑动相关捕获算法,通过对低压电力线信道上各类噪声的理论分析和整体扩频仿真,得到了该改进的滑动相关捕获方法性能优于传统捕获方法的结论。该方法在低压电力线信道噪声环境下,既具有良好的抗干扰性能,又具有实际的应用意义。
编辑:小宇
上一篇:Nios
II与CF卡的接口设计
下一篇:亨通为发展中国家做光纤光缆知识培训


