- 易迪拓培训,专注于微波、射频、天线设计工程师的培养
可变带宽OTA—C连续时间低通滤波器设计
摘要:实现了一种全集成可变带宽中频宽带低通滤波器,讨论分析了跨导放大器-电容(OTA—C)连续时间型滤波器的结构、设计和具体实现,使用外部可编程电路对所设计滤波器带宽进行控制,并利用ADS软件进行电路设计和仿真验证。仿真结果表明,该滤波器带宽的可调范围为1~26 MHz,阻带抑制率大于35 dB,带内波纹小于0.5 dB,采用1.8 V电源,TSMC 0.18μm CMOS工艺库仿真,功耗小于21 mW,频响曲线接近理想状态。
0 引言
射频接收机质量被认为是影响整个系统成本和性能的主要因素。随着无线通信移动终端朝着小尺寸、低成本、低功耗方向发展,射频前端系统中的集成滤波器设计显得十分重要。其中,基于CMOS工艺的设计方案以其成本和功耗的优势,已成为有源滤波器设计选择的主流方向。
跨导运算放大器(Operational Transconductance Amplifier)因其工作频率高,电路结构简单,具有电控能力,便于集成等特点被广泛用于有源滤波设计中。电压功耗低的COMS跨导运算放大器,同时有热稳定性能好,芯片面积小,便于集成等优点。由OTA及电容C构成的OTA—C滤波器,仅含电容,不含电阻以及其他无源元件,有较低的功耗和较高的应用频率,被普遍应用于高频集成电路领域。
从总体上看,国内的模拟滤波器研究成果较少且工艺陈旧;从带宽上来看,低中频结构接收器中高带宽的应用比较少。本文采用CMOS工艺实现了一个应用于片上全集成接收机中频宽带低通滤波器。
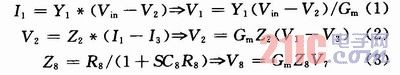
1 滤波器电路设计
梯形结构电路的元件参数灵敏度低,实现时不用考虑传输函数零极点的配对,设计方便,在宽带滤波器设计中有一定的优越性。跳耦结构电路具有较小的寄生敏感度和较大的动态范围。本文低通滤波器设计采用信号流程图方式实现梯形跳耦结构。
本文考虑到无源LC滤波电路有优良的灵敏度特性,并且LC电路设计理论非常成熟。所以本文采用LC梯形电路法设计电路。首先根据滤波器指标参数,查表得LC梯形滤波器电路和参数,后对此电路做状态变量分析,写出其电路电压方程,依据状态方程得出相应的信号流图,然后应用跨导运放和电容实现型号流图中的积分器,模拟状态变量。可实现无源LC梯形滤波器到跨导-电容滤波器的模拟变化。查阅滤波器工具书得出,需要采用七阶Butterworth低通滤波器。本文以-3 dB带宽为26 MHz时,50 MHz幅频曲线以-40 dB予以说明。根据上述性能要求,查阅滤波器工具书得出,需要采用七阶Butterworth低通滤波器,原型电路如图1所示。

由图2所示电路框图,以电感上的电流及接地电容上的电压为变量列出状态方程,经过方程变化,最后得到全电压量状态方程:

类似式(1)、式(2)可以得V3~V7的状态方程。图3电路为最终实现电路。模拟电阻Ⅲ采用跨导Gm,实现负反馈运放等效代替,电路仅由跨导运放和电容元件来实现七阶Butterworth滤波器,其中OTA跨导值的大小可以通过其偏置电流得到精确调节。

2 跨导单元设计
线性度和带宽是跨导运算放大器设计考虑的两个主要方面。带宽的大小和跨导值成正比,但增大跨导值会使芯片功耗变大,对于相同的传输函数,增大跨导值时,电容值也需要相应的增大,从而增大了芯片面积。同时跨导值减小时,电容值也要减小,这对版图匹配造成影响。
本文采用经典的交叉耦合差动式COMS跨导器,其I/V传输特性有理想的线性关系。图4中,M1和M2偏置电流为I;M3和M4偏置电流为nI。电路设计中,M1~M4有相同的沟道长度L,M3,M4的沟道宽度W=nL。设Y1=i1/I,Y2=i2/I,X=Vid/Vb,则输出电流Io=i1+i2的归一化表达式为:

可以看出,n值增大时,β值减小,式(4)中根号内的βX2项减小,跨导器线性度得到改善。n值越大,信号电流分量在M3,M4中所占比例越小,传输特性越接近理想状态。
作者:国防科学技术大学 周德福 张勇虎 葛锐 戴冲 来源:现代电子技术
上一篇:三方联动构建可管可控的ITV网络
下一篇:如何正确连接本地无线网络


