- 易迪拓培训,专注于微波、射频、天线设计工程师的培养
峰值电流限流的优化方案
录入:edatop.com 点击:
摘要:通过采用峰值电流限流的方法,电流限制功能可以使电感电流在超出阈值时抑制电源转换器的开关电流。但是,由于比较器延时,有效阈值削减问题通常难以避免。本文将针对这一问题,介绍一种峰值电流限流的优化方案。
引言
电流限制是开关式电源转换器的一个重要保护功能,它可以在电流限制模式下限制可用的输出电流,以防止出现系统故障。峰值电流限制是目前业内普遍采用的电流限制方法。每当电感的电流IL超出阈值IV时,电源转换器的开关(如图1所示)便会关断,以制止电流从输入电压源VIN注入,直至IL小于IV时,开关才会重新开通。由于输出电流IOUT总是等于IL的平均值(在工作期间IL呈线型纹波),故在电流限制模式下的IOUT(CL,DES) 为:
(1)
式中的IL(RIPPLE)是IL纹波的峰峰值。
一般而言,通常采用比较器来检测IL是否超出IV,以决定关断或重新开通。可是,比较器会带来延时tD,影响阈值的有效值。如图2所示,比较器在t1时刻检测到IL< p> V,可是偶遇延时tD,开关会在t2时刻被恢复。基于这个原因,有效阀值IN便会低于IV,这样,实际的输出IOUT(CL)为:
(2)
当IN<> V时,上述数值便会小于IOUT(CL,DES)。结果,在比较器中的tD会消减IOUT(CL) 。
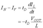
进一步研究,可发现IN会受电感L的影响。考虑到IL的电流变化率为:
(3)
式中的t是时间,而VOUT是电源转换器(如图1所示)的输出电压。当L减小时,便会相应减少。
由于tD不会受ILS、L和VOUT影响,并且VOUT也不受L影响,所以IN会随着L而下降。这种关系可用下式表示:
(4)

图 1 降压电源转换器
来源:电子设计应用


