- 易迪拓培训,专注于微波、射频、天线设计工程师的培养
一种基于三电平的单级PFC电路设计
录入:edatop.com 点击:
2.2 boost模式
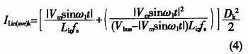
本文设定的boost电路工作在DCM状态下,这样,当boost电感充电时,电感电流将从零开始线性增加,其电流峰值为:

因此,在一个周期内,其平均电流为:

由于直流母线电压的大小可根据不同的交流输入电压峰值而变化,其可表示为:
![]()
因此,当输入交流电压的范围是90Vms~265Vms时,其直流母线电压的大小为350~650V。
3 仿真结果
仿真时,假设经过上述分析所设计的一个单级PFC电路的具体电路参数为:输出电压48 V,功率2.3 kW,Vin=90~265Vms,Lr=7μH,Cs=10nF,Cp=15 nF,N1/N2=4,Lin=0.95 μH,储能电容Cbl=Cb2=4700μF。
若图3所示为其输入电压和输入电流的波形,且此时的交流输入电压Vin为265Vms。那么,图4所示即为负载变化情况下的功率因数及直流母线电压的仿真图。由图4可见,在不同的负载情况下,直流母线电压基本维持在650 V左右;同时,该变换器也拥有较高的输入功率因数。


4 结束语
本文研究并分析了一种较为新颖的单级功率因数校正电路的拓扑结构,该变换器由三电平谐振变换器联合boost电感组成。变换器的输入输出隔离,功率因数高,开关管电压应力小,并能实现零电压开关。仿真结果表明,该电路的输出电压稳定,同时,即使在轻载情况下,其直流母线电压仍能保持在稳定的范围内。从而证明了文中电路和控制方式的高效性。
作者:于 乐 来源:国外电子元器件
上一篇:优化电源模块性能的PCB布局技术
下一篇:新一代数字万用表助力模拟电路故障诊断


