- 易迪拓培训,专注于微波、射频、天线设计工程师的培养
一种新型感应加热电源双机并联拓扑的研究
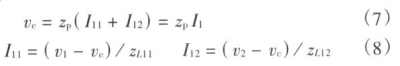
假设各逆变器INV1至INVn工作在理想状态,即INV1至INVn对应相同的驱动信号,有相同的直流电压vdc,则多机并联可以等效为单机的情况,转换等式如式(6)。

实际控制中各个模块的驱动信号统一由控制板产生,但在传输信号的过程中,由于传输路线上的逻辑器件延迟,驱动变压器的延迟以及工艺方面的原因可能造成模块之间驱动信号的差异。这种延迟造成逆变器输出电压存在相位差,因此,研究它所产生的环流有实际意义,首先做出双机并联的等效电路如图4所示。

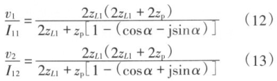
根据式(6)选取L11=L12=2L1,由于感应加热负载的高Q值,假定感应圈中的电量均用正弦量,则有

式中:zp为电容与感应圈并联等效阻抗。
则有

因并联逆变器挂在同一个电压母线上,所以v1,v2的幅值差别很小,对环流的影响可不计。假定驱动信号延时,逆变桥1输出电压v1比逆变桥2输出电压v2超前α角度,由式(10)及式(11)可看出,I11和I12之间将有环流分量IDIFF存在,IDIFF在v1和v2之间流动却并不流向被加热工件,IDIFF=(v1-v2)/2zL1,由于电压型逆变器的等效内阻抗很小,因此,若不加电感L11的话,环流将很大。特别是在高频时,微小的驱动信号延迟都将出现很大的延迟角α,考虑电压型逆变器工作在容性状态下时,很容易损坏功率器件。因而在上述模块并联驱动信号不一致的情况下,需要考虑驱动的不同步是否会导致某个模块工作在容性状态下,由式(10)及式(11)可得

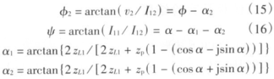
zL1是纯感抗,由单机分析可知,在谐振点时zp是容性阻抗,显然有φ1=arctan(v1/I11)=φ+α1 (14)

α1及α2随α的变化曲线如图5所式,可见在α较小时α1及α1随α呈线形变化特性,因而由式(14)及式(15)看出α的增加将使得,v1和I11之间的相位差变大,即充分保证了逆变桥1开关的ZVS。相反v2和I12之间相位差变小,使得逆变桥2的ZVS条件恶化。即当α增大到一定数值吋,滞后的逆变桥将不能保证ZVS。所以,在设计参数时要注意选择一定的开关角度,即满足

在α=30°时,由图6看出(Q/k)>4时φ-α2将小于O,逆变桥2失去ZVS的条什。图5中α-α1-α2很小,即I11和I12几乎同相,且由式(5)可得电容上电压vc比逆变输出电压大很多,且滞后90°,因此可得

即I11和I12的幅度差别很小,这些对逆变桥的并联非常有利。
来源:21IC电子网
上一篇:开关电容滤波器的系统设计与实现
下一篇:视频监控技术的智能化趋势


