- 易迪拓培训,专注于微波、射频、天线设计工程师的培养
IC电路中电源系统的EMC研究
如图3所示是对所有可能噪声干扰路径的噪声抑制的方法。这就分成两种方法,一种是EMI滤波器,一种是屏蔽。屏蔽更多是涉及到机壳整体的机械结构设计,往往对系统的布局布置有更多考虑。从电路设计的角度,我们更多的是要考虑EMI滤波器。因为更为广泛的干扰都是从线路上溢出或是从线路上的耦合中产生的,因此在线路上的滤波对辐射的抑制效果更明显一点。

图3抗干扰措施
2 电源系统的板级电磁兼容设计
在电源设计中的一个重要环节就是电源系统的板级电路设计问题,这也是从电源技术的选择、电源架构的搭建、电源器件的定型,以及电源滤波的设计等一系列的概念设计(原理设计)问题走向了最终的物理实现(PCB 设计)的过程。
在设计数字电路系统中,我们要通过电源分配系统(Power Distribution System)达到两个基本的目的:为数字信号转换提供稳定的电压参考,为所有逻辑器件分配电源。
在实际的电路设计中,要达到这两个目的已经越来越复杂了。在高速数字电路系统中,信号完整性问题变得非常的突出。一个非常重要的问题就是电源分配系统的轨道塌陷(Rail Collapse)。由于电源技术呈现出低电压、开关电源开关频率高频化等一些不利于解决信号完整性的状况,电源完整性被作为一个新的研究方向被提了出来。
通常电源完整性问题主要有两个途径来解决:优化电路板的层叠设计及布局布线和增加去耦电容。
下面主要介绍增加去耦电容的方法。
(1)去耦的原理
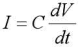
去耦电容就像是靠近需求点的能量存储器一样。通过在器件附近的电源和地之间添加去耦电容,可在快速突发周期内来提供独立于电源的能量,通过足够的储量保证所需要的电压对于一个给定的电流 I,纹波电压或电压降可以用公式(1)表述:
![]()
![]()
公式(2)说明了吸取电流导致的电压降V。正如大多数的CMOS电路,IC只有在晶体管开关时才会汲取电流。这意味着当IC开关时就汲取电流,会产生一个电压降而造成电源分布系统的电源纹波噪声。进一步看,随着处理器速度的增加,纹波噪声也会由于更多的逻辑状态吸收电流而相应的大量增加。
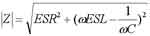
随着电路系统时钟频率的增加,很多情况就不能按照理想的电容器来考虑了。一个实际的电容不论是陶瓷电容还是电解电容,都可以被简化成一个串联RLC的模型。一个电容模型包括自身的电容C,还包括了等效的串联电感 ESL 和等效串联电阻ESR这两个重要的参数。这个串联模型的阻抗幅值是:
![]()
等效串联电阻和等效串联电感都是实际电容的寄生参数。
电容的谐振频率为:

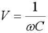
在这一谐振频率上,电容可达到最小的阻抗。去耦就是利用电容在一定的频率范围内,特别是在谐振频率附近,电容能够对外呈现一个较低的阻抗(尽管可能是容性或者感性),为该频率范围内的噪声在电源和地之间提供一个阻抗的通路,从而确保IC电源的稳定。
现在让我们定性的查看一下数字电源分布系统的ESL的效应。
![]()
![]()
公式(5)说明了电流I的变化会造成电源分布系统电压V的下降。在大多数的CMOS电路中,IC在晶体管开关的时候汲取电流,这就意味着当IC开关,电流上就有一个变化,这就导致电源分布系统中的纹波。正如前所证明的,PDS中的纹波会造成系统的错误。要减少高频下的这些错误,就要尽可能的使用最低ESL的去耦电容。从公式(6)可以很明显地看出来,ESL的减少会带来电压V的减小,即是纹波电压的减小。
来源:21IC电子网
上一篇:高频开关电源自动换向开关
下一篇:太阳能发电系统单元逆变器的控制板设计


