- 易迪拓培训,专注于微波、射频、天线设计工程师的培养
基于MC3423的OVP反激式开关电源设计
引言
随着电力电子技术的发展。绿色、高效、智能、稳定的电源系统已成为当代电源系统发展的主流和趋势。开关电源是一种新型电源变换器。它利用变化电场产生变化的磁场,而变化的磁场又产生变化的电场,从而起到变压作用。根据电磁辐射原理,电磁辐射的能量与频率f有关,频率越高,能量越大。因此,如将变压器开关频率提高,则在相同功率下,变压器体积变小,电源效率增高;而在开关电源体积减小、效率增高的同时,又要保证电源系统输出的稳定性和安全性,这就要求在开关电源输出上必须加上保护措施,以防止过压和过流,从而保护后继用电器。
开关电源的设计通常包括电路设计和磁路设计两部分,电路的设计包括输入电路、PWM控制电路、输出电路和过压过流保护等;磁路的设计主要包括高频隔离变压器等。本文以MC3423为输出过压保护电路,给出了一种反激式开关电源的设计方法。
1 电路设计
1.1 输入电路设计
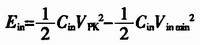
若输入电压一般为AC180 V~260 V。一次整流滤波后的空载峰值电压为直流253~368 V,交流电流频率为50 Hz,每个线路同期的能量Ein为:
![]()
其中,Pout为输出功率;η为电源转换效率;f为交流电频率;这样,根据能量的基本关系,每个周期电网为电源提供的能量为:

式中,Vpk是输入最低交流电压经整流后的直流峰值电压Vin min是最低工作直流电压值。这样,有:

若Cin取标称值100 μF,耐压400 V。那么,该滤波电容将减小一次整流滤波后的输出纹波电压。图1所示是一个电源输入电路图。

1.2 PWM控制电路设计
UC3842型PWM控制器是一款保护功能比较完善的集成电路,它采用DIP8封装。具有输入过压保护、输入欠压保护、输出过流保护等功能。而且过流保护是用逐个脉冲限流保护方式与过流关闭保护方式共用,通过不同阀值比较器实现保护功能,当出现过载时,这些比较器将短路PWM输出脉冲,同时打开慢启动晶体管,并慢启动电容放电,从而保证故障消除后系统能够正确的重新启动,UC3842的PWM产生电路如图2所示。

作者:晏勇 来源:国外电子元器件
上一篇:一种抗SEU存储器电路的FPGA设计
下一篇:LDO在开关电源中的应用


