- 易迪拓培训,专注于微波、射频、天线设计工程师的培养
双向开关前置的单相升压APFC变换器建模和仿真
3 双向开关前置的单相升压APFC变换器电路小信号建模
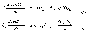
对于双向开关前置的单相升压APFC变换器电路而言,在CCM工作模式下,由于后两个状态只是前两个状态在负半周的重复,下面以正半周期两个状态为例进行分析。为了求解变换器的静态工作点,需要消除变换器中各变量的高频开关分量,通常采用求平均值的方法。在满足低频假设和小纹波假设的情况下,定义变量电感电流i(t)、电容电压v(t)和输入电压vs(t)在开关周期Ts内的平均值
、
和
为:

为了简化分析,将有源开关元件与二极管都视为理想元件。则在CCM模式下变换器的每个开关周期都有两种工作状态。可以分别列出电感电压和电容电流的微分方程式(1)、(2)、(3)、 (4),然后结合(5)、(6)、(7)式就可以分别得到电感电压和电容电流在一个开关周期内的平均值,进一步可以导出变换器的一组非线性平均变量状态方程(8)、(9)。

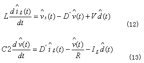
(8)、(9)是一组非线性状态方程,各平均变量和控制变量d(t)中同时包含着直流分量和低频小信号分量。在电路满足小信号假设的情况下,可以分离出电感和电容的交流小信号状态方程为(10)、(11)。

变换器的实际工作状态是工作在静态工作点附近并且按线性规律变化。但是(10)、(11)两式组成的交流小信号状态方程仍为非线性状态方程,因此还需要对非线性方程线性化。由于(10)、(11) 两式中除了
、
外都为线性项,而且这两乘积项远小于其它项,若将它们略去,不会给分析引入太大误差,则线性化后的交流小信号状态方程为(12)、(13)。

根据方程 (12)、(13)可以建立更为直观的交流小信号等效电路模型,为分析变换器的小信号特性提供方便,如图5所示:

图4 双向开关前置的单相升压APFC变换器在CCD模式下的交流小信号等效模型
4 双向开关前置的单相升压APFC变换器仿真分析
下面利用MATLAB7.1中的Simulink6.0仿真软件对变换器电路进行仿真,假定参数设置如下:Vs=220V,初级电感L=1×10-3H,初级滤波电容C1=3.3μF,输出储能电容C2=200~5000μF,开关管的工作频率为fS=50KHz,负载R=20~140Ω。下面分别讨论储能电容C2和负载R的变化对功率因数(PF)和输出纹波电压(Vpp)的影响。
4.1参数变化对电路的功率因数(PF)的影响
参数变化会对电路的功率因数(PF)产生影响,以桥臂并联电容C2和负载R为变量,仿真求得电路的PF值,结果如表 1所示:
表 1 功率因数随输出侧并联电容值及负载变化的仿真结果

电容C2分别取500uF、1000uF、1500uF、2000uF、2500uF时,负载在20Ω~140Ω范围内对应分别取7组数据,利用MATLAB软件对各PF值进行三次多项式插值,插值后的变化曲线如图5所示。

图5 功率因数随输出侧并联电容值及负载变化的PF插值曲线
从图5可以看出,针对某一取值的电容,负载的变化对功率因数有很大影响,当40Ω≤R≤60Ω时,功率因数取得较大值。
4.2参数变化对电路的输出纹波电压(Vpp)的影响
参数的变化同样会影响电路的输出纹波电压(Vpp),以桥臂并联电容C2和负载R为变量,仿真求得电路的输出纹波电压值如表2所示。
表2 输出纹波电压随输出侧并联电容值及负载变化的仿真结果

来源:电源世界
上一篇:高频软开关静止变流器并联研究
下一篇:一种差分直流耦合ADC输入电路设计


