- 易迪拓培训,专注于微波、射频、天线设计工程师的培养
高频软开关静止变流器并联研究
式中: Ig为公用电压调节器输出,
分别为两台上述航空静止变流器模块的电流环等效放大倍数。对于该航空静止变流器并联系统,r1和r2非常小,因此U&0≈U&1,U&0≈U2,故式1可以简化为
(2)
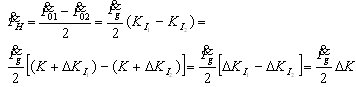
从式(2)中可看出,任一逆变模块的输出电流等于该模块的电感电流与该模块的滤波电容电流的差。由式(2)得该控制方式下两并联模块间的环流IH为
(3)
从式(2,3)中可以看出,两台逆变模块的输出电流以及两台逆变模块间的环流由两个分量组成:(1)由于两逆变模块的电流放大倍数差而引起的环流;(2)由于两台逆变模块的输出滤波电容的差异而引起的环流。
(1)当
,令C1=C+△C1C2,C2=C+△C2,则式(3)化为
(4)
其中:△C=△C1-△C2。从式(4)中可以看出当两台逆变模块的输出滤波电容不相等时会在两逆变模块间产生环流,这一环流正比于两滤波电容的差△C。
(2)当C=C1=C2,令
,则式(4)化为
(5)
其中:
。从式(5)中可以看出当两台逆变模块的电流放大倍数不相等时会在两逆变模块间产生环流,这一环流正比于两逆变模块电流放大倍数差△K。
综合(1)与(2)分析可知:在共用一个电压调节器的多电流模块并联系统中,欲使各模块均分负载电流,必须减小各逆变模块间在电流反馈环节、输出滤波环节上参数的差异。
2.4 并联系统动、静态分析
假设3个模块的输出滤波电感和输出滤波电容相等,各电流环的放大倍数,输出线路阻抗均相等,即:L1=L2=L3=L,C1=C2=C3=C,r1=r2=r3=r,
,对于该航空静止变流器并联系统,并联连接线较短,输出线路阻抗r非常小,可以忽略,因此U&0≈U&1。
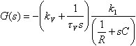
假设单逆变模块的负载为R,电压环的放大倍数为k,积分时间常数为rV,可得单逆变模块的正向通道传递函数为
(6)
反馈通道传递函数为H(s)=Kv (7)
单逆变模块的输入输出传递函数为
(8)
n个单逆变模块并联后,并联系统的正向通道传递函数为
(9)
由于是共用电压环,因此,反馈通道传递函数不变
H′(s)=Kv=H(s) (10)
并联系统的输入输出传递函数为
(11)
比较式(6,9)和式(8,11),n个模块并联系统的负载为nR时的正向传递函数和输入及输出传递函数与单模块负载为R时完全一致,即n模块并联系统动、静态特性与相应n分之一功率输出的单模块的动、静态特性完全一致。因此,并联系统的动、静态特性较单模块有所提高,输出功率增加了n倍:P0′=nP0。
单逆变模块逆变器的等效输出阻抗为
(12)
并联系统的等效输出阻抗为
(13)
由此可见,与单模块相比,并联系统的放大倍数提高,输出阻抗减小,外特性变硬。并联系统空载时输出电压与单模块相同,在相同负载条件下,输出电压下降量减少。系统的输出功率与并联模块数量成正比。
来源:电源世界
上一篇:磁珠及其在开关电源中的应用
下一篇:双向开关前置的单相升压APFC变换器建模和仿真


