- 易迪拓培训,专注于微波、射频、天线设计工程师的培养
无输出变压器OTL电路的应用
0 引言
OTL电路,即无输出变压器(OUTPUT Trans-former Less)是低频功率放大电路的重点,无论是在电路结构上还是在理论计算上,低频特性较好的0CL和电源利用率较高的BTL电路都与其有很多相似之处。而这3种电路,目前广泛应用于多种视频、音频等设备中。因此深刻理解和细致把握0TL电路的工作原理就有着极其深刻的理论和实际意义。
l 基本电路
图1所示为一基本0TL电路,该电路可以看成是由T1和T2两个工作于乙类工作状态的射极跟随器的组合。由于分别选用了NPN型和PNP型三极 管,所以在输入正弦波信号时,两管可以交替工作在正、负半周,故称为0TL互补功率放大电路。由于两管均处于乙类工作状态,所以只有当输入信号大于三极管 门限电压时,才出现基极电流,功放才有信号输出。因此在输入信号正负半周的交替过程中,当输入信号低于门限电压时,两个管子都处于截止状态,输出信号便出 现了失真,这就是交越失真。为消除交越失真,需要给T1、T2设置合适的偏置电路,使两个管子均处于甲乙类状态。为了确保两管静态电流的稳定,故采用具有 稳定正向电压的二极管组成两管基极间的偏置电路。

2 OTL电路的特殊性
2.1 输出耦合电容C1在该电路中兼作负电源
静态时直流电源给耦合电容充电,由于电路的对称性,

在输出信号负半周,下管导通,上管截止,电源与负载断开,电容放电,代替电源提供能量,在负载上得到负半周信号;在输出信号正半周时。上管导通,下管截止,给电容充电,补充负半周损耗的能量,此时负载上得到正半周信号。
2.2 推动管的偏置电阻兼作负反馈
在0TL电路中,中点电位的稳定十分重要。为了使中点电位能自动稳定,没有把推动管T3的偏置电阻Rb接在电源上,而是接在了中点电位K上。这样,此电阻既是推动管的偏置电阻,又是负反馈电阻,较好地稳定了中点电位。如:

2.3 引入自举升压电容
当输入信号足够大,正半周峰值时,将使推动管饱和,中点电位趋近于零,输出信号负半周的峰峰值;负半周峰值时,中点电位接近于电源电压,也即输出信号正半周的峰峰值。但根据射极跟随器的工作原理可知,Uk=UA-URC-0.7V
所以要增加自举电容和隔离电阻。自举电容C的容量应比较大,使其充放电时间常数远远大于信号周期,保证在整个工作过程中其上的电压始终保持为

, 小阻值的隔离电阻将电源电压与A点电位隔离开。当输入信号负半周时,随着T1的导通,中点电位逐步向VCC上升。由于自举电容两端电压不能突变,A点电位 便被抬高到比VCC还高的电位,使T1管的基极获得高电压,从而使A点的最高值接近VCC,提高了输出信号正半周的幅度,减小了功率失真。
2.4 功率和效率问题
在0TL电路中经常要遇到这么几个功率:最大不失真输出功率、电源提供的功率、管子最大消耗功率和电路效率,这几个概念之间既有联系又有区别,需要特别注意。
2.4.1 最大不失真输出功率

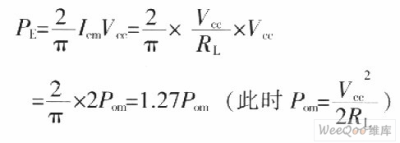
2.4.2 电源供给功率
电源向管子提供的电流如图3所示,其平均值为

即电源功率随输入信号的增大而增大。在极限运用即输出功率最大时,


来源:维库开发网
上一篇:以IP成就移动业务承载未来
下一篇:小巧的数字显示频率计、转速表


