- 易迪拓培训,专注于微波、射频、天线设计工程师的培养
数字调制信号接收技术
式中yI,yQ表示同相和正交分量,T为符号周期,τ为定时延时误差,Gardner算法适用于跟踪和捕获模式,它要求每个符号采样两次。
Gardner算法最初是针对恒包络MPSK信号提出的,可以先于载波误差补偿之前进行。若将它应用于MQAM(M>4)信号中,特别是滚降因子较小时,其定时误差信号抖动太大。
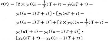
根据定时误差信号抖动的统计特性可知:滚降因子越小,抖动越大;信号包络起伏越大,抖动越大。如果单靠环路滤波器来减小定时抖动,那么必然使环路等效噪声带宽减小,从而增加环路捕获时间。L.E.FRANKS已经证明通带范围为(1/4T,3/4T),以1/2T为中心的偶对称的带通信号,其定时抖动近似为零。并且特别强调了1/2T为中心的偶对称信号,信号过零点将发生在T/2处。如果在定时误差探测器前加一个预滤波器,尽可能使信号波形满足上述要求,就可以达到减小定时误差信号抖动的目的。简单的预滤波处理是将误差检测公式修正如下:

环路滤波器是锁相环路的另外一个重要组成部分,在符号同步中采用理想积分滤波器。它由积分支路和比例支路构成,误差信号在送入比例支路和积分支路时,与比例增益G1和积分增益G2相乘。由于比例支路可以跟踪相位误差,积分支路可以跟踪频率误差,符号同步环路就能对定时误差信号跟踪并锁定同步。另外,G1和G2的取值决定了系统的环路带宽和收敛的快慢。ωn是环路的自然频率,ξ是锁相环的阻尼因子。

其中Ts为采样周期,通常ξ取临界阻尼系数0.707。
定时恢复环的内插滤波器由数控振荡器(Number-Controlled Oscillator)控制,它接收定时误差信号,给内插滤波器提供内插运算所需的参数m(k)和μk,数控振荡器的时钟频率为1/Ts。
数控振荡器如图4所示,W(m)为NCO控制字,由定时误差信号经环路滤波器滤波后提供,NCO寄存器中的η(m)值每TS时间减一次W(m),寄存器减掉一定个数的W(m)后将产生过零点,每出现一次过零点,则产生一个定时调整抽样脉冲Ti,从而可以决定m(k),也就是决定哪些采样信号值参加内插运算,同时还可求出μk。

4 仿真实验
通过对所采用的技术方案的建模仿真,并对信号源的调制数据进行解调实验。实验结果表明,在误比特率为10-4时,Eb/N0比理论值多2 dB。图5给出了16QAM调制信号有定时误差时,定时恢复前和定时恢复后的眼图,可以看出定时恢复前,眼睛张开最大的位置不在采样的最佳点,而定时恢复后眼睛张开最大点在采样的最佳点。

图6给出了16QAM调制信号有载波频差时,载波恢复前和载波恢复后的星座图,可以看出载波恢复前的星座图是旋转的,载波恢复后信号的星座图明显分开了。

5 结 语
本文针对适用于多种数字调制信号接收解调所采用的的全数字接收机进行了分析和设计。对载波同步技术和码元定时技术进行了理论分析和仿真实验。结果表明:通用环和内插定时两个关键技术可以实现PSK、QAM数字调制信号的接收解调。全数字接收机设计灵活,易于实现通用高集成度接收机。
作者:孙海祥,刘 杰 (中国电子科技集团公司 第54研究所 河北 石家庄 050081)
来源:《现代电子技术》
上一篇:PTN更适合3G基站传输
下一篇:总结综合布线施工中的经验


