- 易迪拓培训,专注于微波、射频、天线设计工程师的培养
40Gbit/s DWDM系统中的链路自动调整功能
近年来DWDM系统正朝着长距离、高速率、大容量、智能化方向发展,40Gbit/sDWDM系统也已逐步走向商用。由于采用常规NRZ码型的40Gbit/sDWDM系统的色散容限大约在60ps/nm左右,且OSNR容限以及接收机灵敏度等指标要求均比10Gbit/sDWDM系统有所提高,考虑到40Gbit/s DWD系统接收端的光功率平坦度和链路残余色散值均要求是动态变化的,因此在40Gbit/s DWDM系统只采用静态的光功率均衡的方式以及固定的色散补偿方式均难以保证系统的性能。针对上述因素烽火通信在40Gbit/s DWDM以及OTN设备中开发了包括光功率和色散自动调整的链路自动调整功能。
DWDM系统中的自动光功率调整
在DWDM光传输系统中,由于传输光纤、光放大器、色散补偿模块以及其它光学部件的损耗或增益与波长相关,因此通常情况下的光传输链路中各通道功率是不均衡的。此外,在宽带范围内的光纤传输会使光纤的某些非线性效应增强,例如受激拉曼散射(SRS)效应会使DWDM信号的短波长通道功率向长波长通道转移,造成通道功率谱的显著倾斜。在接收端各光通道功率差异过大时,即使接收端通道平均功率为接收机最优输入功率,功率较低的通道会因趋近或低于接收机灵敏度而显著提高误码率、功率较高的通道会因趋近或高于接收机过载点而使误码显著恶化,从而导致部分通道乃至整个系统的传输失效。
因此在大容量DWDM传输系统中,为了使所有通道的接收功率都落入接收机优化的误码性能范围内,获得通道一致、优良的系统性能,对整个系统各个部分的通道一致性传输要求增高。为克服传输通道上各有源、无源组成部分带来的通道功率不一致性成为大容量、长距离传输系统面临的问题之一。
通常DWDM系统中的光功率均衡可以采用发送端光功率预加重、光放大器增益斜率调节以及加入线路增益平坦滤波和动态增益调整单元进行。但这些调节要么是静态的,要么在系统的接收端是无法感知的,从而增加了系统的维护难度以及调整时间。因此在高速DWDM系统,尤其是40Gbit/sDWDM系统以及ROADM系统中对自动光功率调节的控制是非常迫切的。
DWDM系统中的自适应色度色散调整
对于40Gbit/s及以上速率的DWDM系统色散补偿所需的精确度随着信号比特率的提高而迅速增加。通常40Gbit/sDWDM系统在1dBOSNR代价下采用NRZ、CSRZ、ODB、DPSK、DQPSK等码型的色散容限均比较小。因此在40Gbit/sDWDM系统中需要采用可调色散补偿模块,动态地实现链路色度色散的精确补偿。

40Gbit/s DWDM系统中各种不同码型色散容限示意图
目前40Gbit/sDWDM系统的色散补偿一般采用固定色散补偿加可调色散补偿的方式。固定色散补偿一般采用色散补偿模块对传输线路的色散进行大致地补偿。可调色散补偿器一般位于系统接收端,采用基于单通道精确色散补偿方式进行。通常情况下可调色散补偿器既可独立地看作一个工作单元,也可与接收机集成在一起。目前烽火通信在40Gbit/sDWDM系统中将可调色散补偿器与光转发单元的接收机集成在一起,以便实现可调色散补偿器的动态自适应调整。通过对应接收机的线路误码率、纠错量等信息采用一定算法来对可调色散补偿器实现闭环控制。采用动态自适应的可调色散补偿技术,将使得整个系统更加稳定,接收机的性能始终保持最优化。

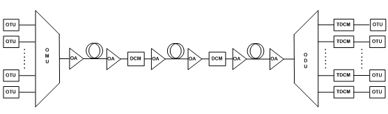
40 Gbit/s DWDM系统中的典型色散补偿方式
40Gbit/sDWDM系统中的链路自动调整功能
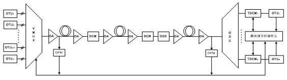
由于采用常规码型的40Gbit/sDWDM系统色散容限、OSNR容限以及接收机灵敏度等指标要求均比10Gbit/sDWDM系统有所提高,因此理想的方式是在系统中集成包括光功率和色散自动调整的链路自动调整功能。如图3所示,链路自动调整包括三大关键部分:光功率调整部分、可调色散补偿模块和模块调节控制单元。光功率调整包括基于VMUX和DGE器件的通道级光功率调整以及基于光放大器的线路光功率调整。可调色散补偿模块用来执行模块调节控制单元通过网管下发的色散调节指令,以便系统接收端的残余色散始终处在最佳范围内。模块调节控制单元采集光谱分析单元、OTU盘接收机的各项数据并执行动态光功率和色散调节的算法,然后向VMUX、光放大器、DGE、可调色散补偿模块发出正确的调节指令。调节控制单元既可以是一个独立的单元,也可以利用DWDM系统中常用的网元管理盘来实现。

具备链路自动调整功能的40Gbit/s DWDM系统示意图
通常情况下造成接收机性能劣化的原因有多种,接收端光功率的下降、OSNR的下降、链路残余色散的变化等均能引起接收机线路FEC线路纠错误码率发生变化。因此在模块调节控制单元中集成光谱分析单元可以排除接收端光功率变化引起的接收机性能劣化,从而正确地决定可调色散补偿单元是否需要进行调整。模块调节控制单元是本系统算法实现的核心部分,它的主要更能是接收光谱分析单元(OPM)送来的各波道接收光功率及各波道光接收机的纠错误码率等信息,读取可调色散补偿模块当前色散设置值,综合以上数据根据相关算法来决定如何对系统中的VMUX、光放大器、DGE、可调色散补偿模块进行合理设置。
链路自动调整算法是模块调节控制单元的控制软件核心部分,它需要通过对各种上报信息进行综合比较,从而正确地发出调节指令。
作为国内主流的40G解决方案提供商,烽火通信已经掌握40Gbit/sDWDM相关的核心技术和专利,实现了器件和芯片的自主化生产,在其推出基于40Gbit/sDWDM/OTN际承载平台的FONSTW1600系统,可以完善的解决链路通道级光功率自动调整以及通道级色散自动调整。其基本算法如图所示。

图 烽火通信40Gbit/s DWDM系统中的链路自动调整流程图
烽火通信40Gbit/sDWDM系统以及新一代OTN设备中均集成了包括光功率和色散自动调整的链路自动调整功能。在40Gbit/sDWDM系统中接收机的最佳性能除了受接收机处OSNR值、残余色度色散的影响外还需要考虑PMD及非线性的影响。尤其是PMD的影响是动态随机变化的,烽火通信已着手在40Gbit/sDWDM系统中开发包括动态自适应的偏振模式色散补偿的链路自动调整功能。
作者:湖北移动 魏涛 来源:通信世界周刊
上一篇:交直流弧焊逆变电源研究现状
下一篇:路由器的桥接功能在VLAN划分中的具体应用


