- 易迪拓培训,专注于微波、射频、天线设计工程师的培养
LTE基础:移动通信中的损耗情况分析
无线信道传播上的特点,对接收点的信号会产生三类不同的衰落损耗,分别为路径传播损耗、慢衰落损耗和快衰落损耗。如图所示:

1. 路径传播损耗
路径传播损耗又称衰耗,是指电波在空间传播所产生的损耗,反映了传播在宏观大范围(即公里量级)的空间距离上接收信号电平平均值的变化趋势。
一个全向天线发送的无线电波在传输时是以球面波的形式向四周扩散。由于传输方向上的不集中,绝大多数能量都没有到达接收端。这和固定通信的情况有很大不同。所以当假设在自由空间中传播时,路径损耗表示为:

其中:L代表路径损耗,d代表收发端的距离,f代表无线电波频率,c代表光速,即3×108m/s。
其中:L代表路径损耗,d代表收发端的距离,f代表无线电波频率,c代表光速,即3×108m/s。
2. 慢衰落损耗
慢衰落损耗是由于在电波传播路径上受到建筑物及山丘等的阻挡所产生的阴影效应而形成的损耗。它反映了中等范围内数百波长量级接收电平的均值变化,其变化率较慢,故又称为慢衰落。由于慢衰落表示接收信号的长期变化,所以又称长期衰落(long-term-fading)。
一般认为慢衰落符合对数正态分布。
式中p(m)代表接收电平场强中值的分布函数;m代表场强中值,单位是dBm;σL为基于位置函数的标准方差;M代表m的均值。
3. 快衰落损耗
快衰落损耗是由于多径传播而产生的。由于移动体周围有许多散射、反射和折射体引起信号的多径传输,使到达的信号之间相互叠加,其合成信号幅度和相位随移动台的运动表现为快速的起伏变化,它反映微观小范围内数十波长量级接收电平的均值变化,其变化率比慢衰落快,故称它为快衰落,由于快衰落表示接收信号的短期变化,所以又称短期衰落(short-term -fading)。
快衰落分为三类:空间选择性衰落、频率选择性衰落、时间选择性衰落。所谓选择性是指在不同的空间,不同的频率和不同的时间其衰落特性是不一样的。
(1) 空间选择性衰落
不同的地点,不同的传输路径衰落特性不一样。多径信号到达天线阵列的到达角度的展宽称为角度扩展。角度扩展给出信号主要能量的角度范围,产生空间选择性衰落,即信号幅值与天线的位置有关。
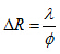
空间选择性衰落用相干距离ΔR来描述:
,其中λ为波长;Φ为天线扩散角。
相干距离为两根天线上的信道响应保持强相关时的最大空间距离。相干距离越短,角度扩展越大;反之,相干距离越长,角度扩展越小。
如果角度扩展小于天线波束的宽度(或者说,信道的相干距离大于天线单元间的距离),这种情况下的信道称为空间平坦衰落信道。相反的情况称为空间选择性衰落信道。
(2) 频率选择性衰落
如果在时变多径信道上发射端发射的是一个时间宽度极窄的脉冲信号(理想情况下为一个冲激),经过多径信道后,由于各信道时延的不同,接收端接收到的信号表现为一串脉冲,即接收信号的波形比原脉冲展宽了。这种由于信道时延引起的信号波形的展宽称为时延扩展。时延扩展产生频率选择性衰落。
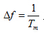
频率选择性衰落用相干带宽Δf描述:
,其中Tm为最大时延扩展。
相干带宽是基于信道的延迟扩展。它代表频率范围内两个接收信号的幅度、相位都有高度的相关性,即两个信号的频谱分量以类似方式受到信道的影响,如出现衰落或不出现衰落。相干带宽为信道在两个频移处的频率响应保持强相关时的最大频率差。相干带宽越小,时延扩展越大;反之,相干带宽越大,时延扩展越小。
传输带宽小于相干带宽时,信号的相关性很好,信道的衰落特性平坦;大于相干带宽时,信号的相关性变差,信道呈频率选择性衰落。
(3) 时间选择性衰落
用户的快速移动在频域上产生多普勒效应而引起频率扩散。频率扩散引起时间选择性衰落。
频率扩散,也叫多普勒扩展,定义为当单一频率正弦波(没有被调制的载波)传输时的频谱宽度。
多普勒扩展还被认为是多普勒频移。由于移动用户与基站的相对运动,每个多径波都会有一个明显的频率移动。由运动引起的接收信号频率的移动称为多普勒频移,它与移动用户的运动速度成正比。
多普勒频移公式为:

,其中v为移动台的运动速度;λ为无线电波波长;θ为电波和移动台运动的夹角。
时间选择性衰落用相干时间ΔT来描述:
,其中B为最大多普勒扩展。
相干时间为两个瞬时时间的信道冲激响应保持强相关时的最大时间间隔,即信道特性没有显著变化的那段时间。相干时间越小,多普勒频移越大;反之,相干时间越大,多普勒频移越小。
相干时间和多普勒扩展是描述信道时间特性方面的重要参数。
取样时间间隔小于相干时间时,信号的相关性很好,信道的衰落特性平坦;大于相干时间时,信号的相关性变差,信道呈时间选择性衰落。


