- 易迪拓培训,专注于微波、射频、天线设计工程师的培养
LTE基础:移动通信中无线传播特性分析
无线信道的传播特性对移动通信系统的性能影响很大,无线传播环境的特点有以下三点:
1. 传播的开放性
一切无线信道都是基于电磁波在空间传播来实现信息传播的。
2. 接收点地理环境的复杂性与多样性
一般可将地理环境划分为下列四类典型区域:
• 高楼林立的城市中心繁华区,也称密集城区;
• 一般楼宇的城市区域,也称一般城区;
• 以一般性建筑物为主的近郊小城镇区,也称郊区;
• 以山丘、湖泊、平原为主的农村及远郊区。
3. 通信用户的随机移动性
通常用户的随机移动性体现为:慢速步行时的通信;高速车载时的不间断通信等。
由于无线传播的特性,使得终端用户接收到的无线电波主要有:直射波、反射波、绕射波、透射波和散射波。
直射波
直射波是指在视距覆盖区内无遮挡的传播,直射波传播的信号最强。
在实际环境中很难找到理想的自由空间,即直射波的传播,但在研究移动通信环境电波传播问题时往往作为各种传播环境的参考标准。
自由空间中距发射机d处辐射功率密度为:

式中Pt为发射功率,Gt为发射天线增益。
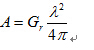
假设接收天线增益为Gr,则有效面积A为:

因此,接收天线的接收功率为:

通常研究路径损耗,可以根据上式推导出自由空间的传播损耗公式:
PathLoss = 32.44 + 20lgfMHz + 20lgdkm
式中,f为频率,d为距离(公里)。上式与距离d的对数成正比,当d增加一倍,自由空间路径损耗增加6分贝。同时,当减小波长(提高频率f),路径损耗增大。可以通过增大辐射和接收天线增益来补偿这些损耗。
反射波
反射是在电波遇到比波长大得多的物体时发生的,比如地面、建筑物墙体表面的反射等。反射波是指从不同建筑物或其它物体反射后到达接收点的传播信号,其信号强度较直射波次之。
自由空间传播中的有关公式只能用于非常严格的条件下,实际的移动无线传播总是受到阻挡或地面的反射。在此种情况下,主要考虑两种情况,球形地面的反射(即收发天线之间距离足够远,以致必须考虑到地面表面的曲率影响)和平坦地面的反射(即收发天线之间距离足够小,以致可以忽略地球表面的曲率影响)。
绕射波
绕射现象是指波绕过障碍物继续传播,也称衍射,当障碍物的线度接近光的波长,绕射现象尤其显著。在无线传播环境中,当阻挡面产生的二次波出现在整个空间中,甚至当发射机和接收机之间不存在视距路径时,在阻挡物的阴影区内会绕过阻挡物产生弯曲波,其强度与反射波相当。
惠更斯原理可定性地说明绕射现象。波在空间传播,是振动的传播,波在空间各处都引起振动,波场中任一点,即波前中任一点都可视为新的振动中心,这些振动中心发出的波,称为次波,如下图所示。次波又可以产生新的振动中心,继续发出次波,由此使得波不断向前传播。新的波面即是这些振动中心发出的各个次波波面的包络面。

绕射波是由次级波的传播进入阴影区形成的。阴影区绕射波场强就是围绕障碍物所有次级波的矢量和,如下图:

透射波
透射主要发生在室外向室内传播的情况下。

当射线到达两种不同介质界面时,将有部分能量发射到第一种介质中(即反射线),另一部分能量透射到第二种介质中(即透射线和折射线)。对室外传播,透射线的影响很小。当射线透射过建筑物外墙时,由于透射后遇到后续障碍物引起场强衰减很快。因此,再返回到室外介质的射线场可以忽略。对室内传播现象,透射过墙体的射线起重要作用,因此室内传播模型必须考虑透射线。穿过墙体的透射线强度可以用透射系数来计算,该透射系数可以对典型建筑物墙体用测量方法获得,但经验透射系数没有考虑到诸如入射线、墙体厚度等参数的影响。
散射波
散射发生在电波传播时遇到许多尺寸小于波长的散射体的情况下,主要由粗糙表面、小散射体或其他不规则物体引起的,比如城市环境的树叶、街道广告牌和灯柱等就是散射体。散射波信号强度最弱。



