- 易迪拓培训,专注于微波、射频、天线设计工程师的培养
TDK5110与TlDA5220的无线温度采集系统
摘要:介绍一种基于英飞凌公司TDK5110与TDA5220芯片的无线温度采集系统。对该系统的无线数据传输部分进行了深入分析,重点分析了无线发射芯片TDK5110及无线接收芯片TDA5220的参数设计与硬件电路设计。该系统具有极强的抗干扰性,可以应用在恶劣的温度环境下,实现了对温度状况的实时监控,有效地降低了发射系统功耗,提高了系统的可靠性。
随着科学技术的发展,简单、方便、实用的东西越来越受到人们的喜爱。无线通信技术的发展为人们的生活、生产带来了极大的改变,节省了大量的人力、物力资源。现在,无线通信技术已经应用到生活的方方面面。在一些不利于有线通信的场所,无线通信技术更是起到了不可替代的作用。小到对讲机,大到移动通信网络,它们无疑在改变着人们的生活方式。比如在生产环境恶劣的生产车间,工作人员不能长时间停留在现场观察设备是否运行正常,就需要将采集到的数据传输到一个环境相对好的控制室内,工作人员可以在这里观察整个生产线的一举一动。由于厂房大、监测点多等原因,需要传输的数据多,使用传统的有线数据传输方式就需要铺设很多很长的线缆,浪费资源,占用空间,可操作性差,出现错误时换线困难。显然,采用有线数据传输弊端很多,因此采用无线数据传输方式可大大改观有线方式的不足。又如在冷库等不利于工作人员天天进出的场所,采用无线数据发射方式可以避免进出困难,同时无线发射装置的移植性好,可随时安装或拆除。基于以上考虑,本文设计探讨了基于TDK5110与TDA5220的无线温度采集系统。
1 无线数据传输原理
系统由两部分组成,通过无线方式联系在一起。第一部分作为温度采集与发射部分,置于被测环境中。这部分上电后开始测量温度,并将测得的温度数据实时发送出去。第二部分作为温度接收和处理部分,上电后开始接收第一部分发射过来的温度数据,并将数据送给计算机进行存储和处理。系统的整体设计硬件结构框图如图1所示。图1的上侧为温度采集与发射部分原理框图,该部分通过发射芯片TDK5110向下侧的温度接收与处理部分发送温度数据,同时通过接收芯片TDA5220接收上侧温度采集与发射部分发送过来的温度值,通过主控器AT89C52把温度值送给计算机。

2 发射/接收芯片参数及电路设计
2.1 发射芯片
英飞凌TDK51lO是一块工作频段在434/868 MHz的单芯片ASK/FSK发送器。芯片具有相当高的系统集成度,片上完全集成了PLL合成器和一个高效率功放以驱动天线,所以使用时只需要非常少的外围电路,适合电路的微型要求。另外其独到的电路和功放模块设计以及睡眠、PLL起振和发射三种模式的设置使得芯片具有很好的低功耗特性。
对于FSK调制电路的设计,需要分析图2所示电路对发送信号频率的影响。

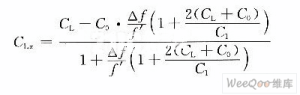
其中,CL表示晶振的负载电容;CSW是FSK开关的对地电容,包括了布线时的分布电容,一般可以3 pF计入;对于13.56 MHz的晶振,R=100 Ω;L=4.6μH。该电路是通过外接的Cv1、Cv2值改变晶振负载电容来实现频率变化的。当FSKDTA=0,开关闭合,Cv2和CSW都被短路,Cv1和L构成等效负载电容;当开关打开时,CSW、Cv2都计入回路,Cv1、CSW、Cv2和L构成等效负载电容。晶振振荡频率与负载电容之间的关系为:

其中:
CL为晶体振荡在中心频率f时所要求的负载电容。
C0、C1为晶振内部等效电容值。
f'=32f,为晶振振荡在中心频率f时的发射频率。
△f为想要实现的距离晶振中心振荡频率的频偏。
当采用TDK5110推荐的NX6035SA晶振时,f=13.568 75 MHz,C0=1.5 pF,C1=5.8 pF,CL=12 pF。
假设为实现"O"的发射△f,计算得到CL0值。但由于芯片内部等效电感的存在,需要修正Cv1值,此时开关闭合,所以修正式子:

其中ω0为发射"0"时晶振振荡角频率。
得到:

在晶振f=13.568 75 MHz时,芯片等效电感L=4.6μH,所以计算可得Cv1=10 pF。
同样实现"1"的发射△f,计算得到CL1值为此时晶振回路中Cv2和CSW并联后再与Cv1、L串联后的等效电容值。即

来源:维库开发网


