- 易迪拓培训,专注于微波、射频、天线设计工程师的培养
解析万兆铜缆布线系统及跳线
在已经使用10GBase-T以太网的部分云计算数据中心,除采用了传统的EOR网络架构外,部分区域也采用了EOR+TOR的新型网络架构,这一网路架构将列头柜HDA分散到各个机柜的顶端,网络跳线直接在接入交换机与服务器设备之间进行跳接,这对跳线的传输性能及RJ45水晶头的安装质量等提出了更高的要求。
Cat6A铜缆跳线的特点
除传输性能必须符合标准规定的 "Patch Cord"性能外,跳线同时要求具有更好的柔软性,要获得更好的传输性能需要考虑增加导体的线径,线径越大线缆的柔软性将会越差。因此跳线线缆的导体一般采用比对应类别水平线缆线径更小、多股绞合的铜丝,根据TIA-568-C.2的相关规定,环境温度在20度的情况下,水平线缆部分要求直流电阻不得大于93.8Ω/km、而跳线线缆的直流电阻值则为不大于140Ω/km,这也就从标准方面为跳线采用更细的导体提供了依据。
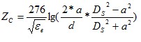
根据对称电缆特性阻抗ZC的计算公式
(此公式适用于非屏蔽)
或
(此公式适用于屏蔽)
Zc—特性阻抗
α—对绞芯线两导体中心间距
d —导体外径
Ds—屏蔽层内径
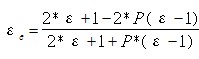
要使跳线线缆的特性阻抗保持不变,在导体线径更小的情况下,可以通过降低电缆的等效介电常数来获得这一目标。而降低等效介电常数最常用的方法之一就是采用绝缘发泡技术。

εe—等效介电常数
ε—材料介电常数
P —发泡度%,它表示泡沫介质内所有小气泡的体积与绝缘总体积之比
由于Cat6A跳线的工作频率要达到500MHz,用于制作跳线的线缆衰减值相比较六类在相同频率(100~250MHz)下要求降低4~5%,绝缘发泡技术恰恰是降低线缆衰减常数的理想手段之一。
外部串扰问题不仅仅存在于水平线缆部分,跳线同样也需要考虑来自相邻跳线的外部串扰。跳线线缆设计时除应考虑衰减常数更低外,同时还应采用合适的方案来消除相邻跳线引起的外部串扰。由于要确保成品跳线的柔软性,因此屏蔽和非屏蔽Cat6A跳线线缆都应尽量不采用增加线缆硬度的填充骨架,如通过采用线对屏蔽的方式来消除相邻跳线的影响等,见图三。
图三 跳线线缆结构图
上一篇:光纤传感在物联网中的应用
下一篇:HFC与PON技术的联姻


