- 易迪拓培训,专注于微波、射频、天线设计工程师的培养
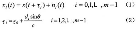
数字化宽带测向系统中的相位差测量及误差分析
0 引言
在电子对抗领域中辐射源测向是一个基本问题。而干涉仪测向系统是目前精度相对较高的一种测向体制因而被广泛使用。干涉仪测向体制的主要优点是精度高和工作频率范围宽,但目前使用的干涉仪系统还存在不足,主要包括:(1)在被动制导等领域中测向精度仍然不够:(2)对现代雷达使用的宽带脉压信号适应能力有限,(3)有待进一步提高系统的工作频率范围。针对上述问题,本系列论文提出了数字化宽带测向系统的整体解决方案,重点讨论数字化相位差测量及误差分析、概率解模糊算法和在测向精度和工作频率范围约束下如何进行天线阵列基线设计三个问题。
本文是系列论文的第一篇,给出了数字化宽带测向系统模型,讨论了数字化相位差测量方法,推导了数字化相位测量的数字化方法误差函数和由通道噪声引起的信号相位误差分布密度函数。相位差测量的精度直接影响系统测向的精度,还会影响解相位差模糊和天线阵列基线设置等一系列系统设计问题。传统的相位差测量方法都是利用窄带信号干涉原理把相位差转化为幅度进行测量的,因而其只能够适用于窄带信号的相位差测量,且测量精度受幅度测量误差的影响较大。随着数字技术的发展,数字相位差测量技术被广泛讨论,但其都没有论述数字化方法对相位差测量的影响和噪声情况下相位测量的误差分布。本文提出的数字化相位差测量方法,其基本思想是把信号转换到频率域,利用信号的相位谱直接完成在给定频率点上相位差的测量,且全面的分析了相位差测量误差。
1 数字化宽带测向系统模型
非均匀线阵的天线数为m,天线的间距分别为d1,d2,L dm-1宽带入射信号分别为s(t),入射方向与阵列法线的交角分别为θ。


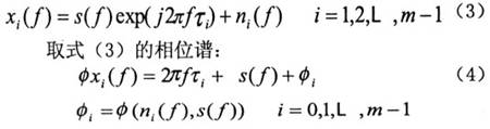
其中τ信号在第i个天线上相对于第O个天线的时间延迟,c是光速常数,di(l=1,2,L,m一1)为天线间距。对式(2)两边同做傅立叶变换:

式(4)中φs(f)表示信号s的相位谱,φi为由噪声谱对信号相位谱影响产生的误差。作如下的相位差变换:

式(6)中相位差△φxi(f)是无模糊的相位差。然而实际中由于天线阵列的间距大于半波长因而相位差是有模糊的。
不妨令:

式中bi是有模糊的相位差,ni表示模糊整数,ai为相对基线长度,ei为相位差误差。则式(6)可代换为:

这是数字化宽带测向系统模型。
以下的工作都是围绕这个模型展开。其一是如何测量相位差bi(i=1,2,L,m一1) 及推导相位差测量误差ei(i=l,2,L,m一1)的分布密度函数。其二是如何快速求解模糊整数ni(i=1,2,L,m一1),即快速解模糊问题,这将在第二篇论文中讨论。其三是如何求解x的最优估计值从而获得测向角θ=arcsin(x),并进行测向角测量误差分析,同时还会讨论如何进行天线阵列的设计问题,即如何选取天线间隔d1,d2,L dm一1使得式(7)在概率意义下有唯一不模糊解,这些都将在第三篇论文中讨论。
2 数字化相位差测量及数字化方法误差
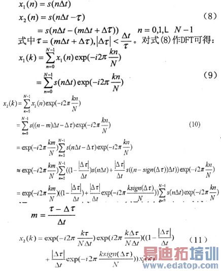
不妨设两个通道的时延为τ,信号为△t,信号持续时间为s(t),采样间隔为N,采样点数为T。


式(14)即为相位差测量的数字化方法误差函数。

从图3中可以看出:在f=1/4,即采样频率是所测频率的4倍时,相位差最大误差约为40,当采样频率是所测频率的20倍时,方法误差可以忽略。
3通道高斯白噪声引起的信号相位误差设通道噪声是高斯白噪声N(O,σ2),采样点数为N。则有:(1)其在离散傅立叶变换序列的实部序列和虚部序列是独立同分布的高斯白噪声序列(证明略)。(2)噪声的幅度谱服从瑞利分布,相位谱服从均匀分布(证明略)。(3)噪声对信号相位谱的影响。

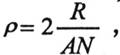
图4中,R为信号频谱幅度值,r,θ为噪声频谱幅度值和相角,w为噪声引起的信号相位误差。

令θ’=θ,则有:

设噪声的归一化带宽为B,信号的幅度一致性系数为ρ,白噪声功率为σ2,信噪比为SN,则计算噪声对信号的相位谱的影响关系。其中ρ义为
通过简单证明可得的零直流分量信号的幅度一致性系数ρ≤1。则:

式(16)即为噪声引起的相位误差分布密度函数。

图6噪声引起的相位误差分布密度函数和信噪比的关系
图6中显示,由通道高斯白噪声引起的信号相位误差分布近似于高斯分布。
4 结束语
本文主要给出了数字化宽带测向系统模型(式(7))和数字化相位差测量的原理公式(式(13)),推导了相位差测量的数字化方法误差函数(式(14))和由通道高斯白噪声引起的信号相位误差分布密度函数(式(16))。
上一篇:通信技术在三坐标测量系统中的应用
下一篇:IxLoad在WAP网关系统测试中的应用


