- 易迪拓培训,专注于微波、射频、天线设计工程师的培养
基于超声波的围岩松动圈实时监测系统设计
引言
巷道的安全支护在煤矿安全生产中起到重要的作用,也是煤矿安全生产中的难点。对巷道的安全支护的关键是要实时地掌握嗣岩松动圈的破碎状态。
巷道开挖后破坏了原岩的应力平衡状态,从而导致:第一,巷道周边径向应力下降为零,围岩强度明显下降,第二,围岩中出现应力集中现象。当这种应力超过围岩强度之后,在巷道周边围岩所形成的破碎带便是围岩松动圈。其物理状态表现为破裂缝的增加及岩体应力水平的降低。松动圈测试就是测试开巷后新的破坏裂缝及其分布范围,围岩中有新破裂缝与没有破裂缝的界面位置就是松动圈的边界。参考文献介绍了基于松动圈测试的检测原理相应的测试方法,包括超声波探测法、多点位移计量测法和地质雷达探测法。参考文献中根据震波在不同状态的岩层中传播速度的不同这一原理提出了基于震波的围岩松动圈测试方法。
鉴于超声波测试的简单、易于操作和无损伤等特点,本文提出了一种基于超声波的围岩裂隙监测系统。此系统结合成熟的干孔测试方法,可以方便实时地检测到围岩松动圈的信息,为巷道的安全支护及时提供信息,确保矿藏生产的安全。
1 超声波检测围岩松动圈原理
1.1 超声波在围岩中的形态
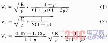
当超声波以垂直方向入射岩体时,会同时产生纵波、横波、表面波。根据声学理论,在无限介质中,这三种波的声速分别是:

式中,Vl、Vs、Vr分别为纵波、横波、表面波的声速,E为杨氏模量,ρ为密度,μ为泊松比。通常,在固体中,Vs约为V1的1/2,Vr约为Vs的0.9倍。但是因沿岩体表面方向传播的纵波、横波能量很小,而表面波的能量却高度集中(表面波的能量几乎全部集中到物体表层一个波长的深度内),故到达近距离内接收换能器的表面波幅度远远大于纵波和横波。本文中,将通过采集超声波在岩石中传播的表面波信息来分析围岩状态。
此外,超声波的传播速度还与岩体结构构造和应力状态有关,声波波速随介质裂隙发育、密度降低、声阻抗增大而降低,随应力增大、密度增大而增加。巷道开挖后,围岩应力将重新分布处于3个应力区:应力集中区、原岩应力区和应力降低区。这三个区的特点:应力降低区(围岩松动圈区)裂隙较多,应力下降,声速低于正常波速,应力集中区应力较高,裂隙压实,声速高于正常波速,原岩应力区应力接近原始应力状态,波速接近正常波速。本文利用超声波在巷道围岩一定深度范围内的传播速度的变化来判定围岩的松动范围。
1.2 超声波波速测试方案
根据超声波发送/接收换能器的个数来划分,目前常用的测速方案主要有单发单收和单发双收方式,如图1所示。这些发送/接收换能器都会按照固定的距离放入预先钻好的围岩孔洞。单发单收方案是通过计算从发送端到接收端之间的时间,再根据两端之间的距离来确定测试位置处超声波在围岩中的传播速度。单发双收方案是利用发送端首波经过两个接收端的时间差和两个接收端之间的距离来确定超声波的传播速度。

超声波的传播速度为:

![]()
单发单收和单发双收均需要不断地改变测试深度才能完成测试。本文结合单发单收和单发双收方法,利用式(4)提出了一种单发多收的测试方案,如图2所示。此结构不需要多次移动测试器,甚至可以固定到岩层中实现实时的监测。

2 围岩松动圈监测系统硬件设计
围岩松动圈监测系统硬件结构框图如图3所示。

主控芯片产生40 kHz的矩形波,高压电路将其放大,经过超声波发送换能器与其产生共振发出最大功率的超声波。在主控芯片STM32F103产生40 kHz的矩形波的同时,定时器开始计数。当超声波换能器接收到超声波的首波之后,滤波电路判断并滤除非40 kHz的超声波,经放大电路将其放大,信号整形电路对40 kHz的高低电平进行转换后发送给主控芯片。主控芯片依此来记录超声波经过每一个接收传感器的时刻,并根据传播时间计算出每一段岩层中超声波的速度,然后将这些信息通过GPRS模块上传给后方监控室。
2.1 主控单元与存储模块
本系统采用的主控芯片为ST公司推出的基于ARMCortex-M3内核的32位微控制器STM32F103。该控制器是为低功耗和价格敏感的应用而专门设计的,具有突出的能效比和处理速度。本设计中嵌入了μC/OS-II操作系统,可以便于多任务控制。此外,STM32微控制器支持NAND Flash存储器扩展,能够将采集的数据存到Flash里面,存储与提取数据更加快速。
2.2 超声波发射与接收电路
2.2.1 超声波发射电路
超声波发射电路由超声波产生电路、放大电路以及超声波换能器组成,如图4所示。由STM32F103的PWM模块产生40kHz的矩形波,经放大电路放大送入超声波发送换能器,发送出40 kHz的超声波。

2.2.2 超声波接收电路
超声波接收电路包括放大信号电路、带通滤波电路以及整剥型发电路,如图5所示。超声波探头接收超声波,经过LM358对其两级放大,然后将放大的信号送入LM567将波形滤波并且触发CPU的引脚。LM567具有带通滤波和触发的作用,5、6脚外接的电阻和电容决定了内部压控振荡器的中心频率f,f≈1/1.1RC。当LM567的3引脚输入幅度大于等于25 mV,并且频率在带宽内的信号时,8引脚由高电平变为低电平,触发CPU的引脚,完成接收超声波的功能。

2.3 GPRS模块
GPRS无线传输模块采用华为公司的GSM900-C模组,如图6所示。GSM通过串口接收CPU的数据,并实时地发送给后方监控室,通过发送引脚将后方监控室的命令传送给CPU,从而实现了后方监控室可以主控请求目标板之间人机互动的功能。目标板也可以自动定时采集数据,并通过GSM模块传输到后方监控室。

3 围岩松动圈监测系统软件设计
基于超声波的围岩松动圈监测系统的软件设计流程如图7所示。本设计中嵌入了μC/OS-II操作系统,主要包括4个线程:

①线程1是定时采集围岩裂隙的数据。由后方监控室发送采集时间表,例如如果是间隔10 min采集一次数据,则目标板就会每隔10 min对数据进行采集,采集完毕将数据传送到后方服务器。
②线程2是目标板实时监测服务器发送来的指令并保存到缓冲池。
③线程3是目标板处理缓冲池的数据,如果检测到缓冲池有更新,说明后方服务器有新任务下达,则根据任务去做相应处理。
④线程4是计数线程,准确计算出从超声波发送出去到接收到超声波所用到的时间。
结语
本文设计的围岩松动圈监测系统可以实时地监测到围岩的松动圈的变化信息,这为巷道的安全支护及时提供正确参考信息。此外,本文提出的方案可以使测试人员远离矿井进行测试,有助于矿井的安全生产,由于加入了多任务处理,也能实时地处理多任务,有助于以后的扩展。
上一篇:WCDMA发射频段无源互调失真测量
下一篇:应对多标准无线电基站发射机测试的挑战


