- 易迪拓培训,专注于微波、射频、天线设计工程师的培养
TMS320F2812在井下微弱瓦斯信号检测的应用
引言
目前瓦斯气体在矿井中的积累已成为困扰煤矿安全生产的重大难题,实现瓦斯气体的准确、有效地监控,对煤矿安全生产有极其重要的意义。由于矿井中存在着即有噪声以及生产中产生的大量噪声,被噪声淹没的微弱瓦斯信号相对于噪声来说显得及其微弱,如输入信号的信噪比为10–1 、10–2、有的甚至10–5 ,瓦斯信号被“深埋”在噪声之中,另外检测传输时又受到信号端、传输器件及变换器件等本身存在的噪声影响,表现出的总体效果是有用微弱瓦斯信号被大量的噪声和干扰所淹没。由于噪声具有随机性,而信号具有周期性、相关性,所以本文采用锁相放大原理中的相敏检波技术中互相关运算来削弱噪声的影响,然后在经过一个低通滤波器,此滤波器的频带宽度做的很窄,那么经过相敏检波输出后,只有落在低通滤波器的等效噪声带宽之内的分量才有输出,其他的高频分量均被滤除,此方法具有很强的噪声抑制能力。方便提取低浓度的瓦斯信号,在微弱瓦斯气体检测中达到了高效性和高灵敏度,很好地降低了微弱瓦斯积聚带来的危害。
微弱瓦斯信号检测的原理和方法
衡量瓦斯气体吸收的基本定律是朗伯比尔定律,其数学表达式如式1:
式1
式1中:A为吸光度,T为透射比是投射光强度与入射光强度的比值。c为吸光物质的浓度,b为吸收层厚度。
其物理意义是:当一束平行单色光垂直通过某一均匀非散射的吸光物质时,其吸光度A与吸光物质的浓度c及吸收层厚度b成正比。也就是说明光的吸收与吸光物质的浓度成正比。
考虑到气体吸光度与瓦斯浓度变换量的关系,当煤矿井下存在微弱的瓦斯气体时,式中的b、c值均小,同时比例系数一般很小,那么特别针对于微弱的信号A的值就很微小,所以在检测瓦斯气体的浓度时,很容易被噪声信号掩盖。为了更好地检测微弱瓦斯浓度信号,采用的方法是:通过相敏检波器(乘法器)和低通滤波器(积分器)完成相关运算,利用相关检测以最大限度地压缩带宽、抑制噪声。
相敏检波器实现相关运算
相敏检波PSD就是对被测信号、参考信号两个信号间的相位进行检波,它是将被测信号与参考信号送入PSD中,在混频器中相乘。PSD工作原理如图1所示:
图1 PSD工作原理图
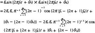
在设计相敏检波器时,设待测信号其中、、、、分别为待测信号的幅度、时间、初相位和频率。参考信号为其中、、、分别为待测信号的幅度、时间、初相位和频率。相敏检波器的输出电压为:
其中n为谐波次数。公式表明:相敏检波器的输出包括两部分,前者为待测信号与参考的差频分量,当被检测有用信号与参考信号同步时,即时(n=0),差频为零,这时差频分量变成相敏直流电压分量,而后者成为倍频。即经相敏检波后电压输出仅与相位差有关。如果通过DSP控制参考信号的初相位,使其与输入信号同相,最终的直流分量值为,可见只要待测信号中有用的信号本身和参考信号同频同相,即可方便地得到滤波前检波器直流输出信号。
滤波器的选择
相敏检波器的输出信号只有在经过一个低通滤波后,才能得到与浓度有关的直流信号,所以低通滤波是很重要的一个环节,其性能的好坏直接影响后期的数据处理。考虑到矿井下通信环境的特殊要求,为了确保提取有用的信号采用的是FIR滤波器,这种滤波器对脉冲输入信号的响应最终趋向于零,故这种滤波器一定是稳定和能够实现的,另外在线性相位要求高的场所采用FIR滤波器也较好,同时也符合了参考信号与有用信号同频同相的要求。
本设计中的FIR低通滤波器采用巴特沃斯低通滤波,截止频率为10kHz,采样频率为40kHz的指标,阻带衰减为80dB。
DSP实现低通滤波
相敏检波器的输出信号直接被采样到DSP的内部,利用DSP优化算法实现高速处理数据能力来实现低通数字滤波。基于此本文采用DSP实现低通滤波,在滤波方式上进行算法的改进。选择TMS320F2812型DSP 为核心的主控芯片,它具有高速的运算能力、强大的实时处理能力和高度集成化的设计结构,指令周期为6.67ns,并采用流水线技术,使得信号的处理速度明显提高。DSP中的专用硬件乘法器和特殊指令DMAC的采用,使得在一个处理器时钟周期里可以得到两个操作数相乘的结果。这种结构恰好满足了数字信号处理中的一些特殊要求如FIR、IIR、FFT等运算,此外,TMS320F2812片内拥有高达128K×16位的FLASH程序存储器,可以满足程序中滤波器的系数、采样数据以及运算结果的乘法和累加的存储。
程序开始时首先要对系统、寄存器、工作变量进行初始化,打开全局中断,设置采样时钟频率,EVA模块的定时器初始化及配置,数据的采样是在中断子程序中完成,采集到的数据先保存在FIFO中,数据采集结束后DSP从FIFO中读取数据开始进行相关性、滤波等一系列的处理,最后将结果显示输出。程序的流程图如图2所示:
图2 程序流程图
仿真图形如图3、图4、图5所示:图3上半部分是滤波前的波形,下半部分是滤波后的波形。
仿真结果分析:由时域图可以看出,原始波形上的不规则毛刺得到了很好的平滑,反映在频谱图可以看出,输入波形中的低频部分通过了滤波器,高频信号则大部分被滤除。较好地抑制了噪声的干扰,进而有效的提取微弱瓦斯信号,符合锁相放大对输出波形的要求。
图3 滤波前后的波形对照
图4 滤波前输入信号的频谱
图5 滤波后输出信号的频谱
结束语
本文介绍了一种锁相放大和DSP实现的滤波器共同实现微弱信号检测的原理和方法,并给出了TMS320F2812 DSP在算法上实现低通滤波器的流程图及仿真结果,结果表明采用DSP实现低通滤波与相敏检波原理相结合的方法来检测微弱瓦斯浓度信号,具有很强的噪声抑制能力,可使整个系统稳定性、灵敏度更高。
上一篇:浅谈磁致伸缩液位计的应用
下一篇:基于MSP430的直流接地检测系统


