- 易迪拓培训,专注于微波、射频、天线设计工程师的培养
监控交流线路的隔离电路
图1中的电路提供一个低成本的隔离交流线路监控器,它可测量交流线路电压,并有其它独特的能力。对电路的分析很简单:当交流输入VIN对零线为正时,将其应用到由R1、R2、D1及光耦合器IC1的LED组成的网络中。当电压足够高使齐纳二极管D1和光耦合器中二极管导通时,电流就会流经此网络。二极管对的导通电压为启动电压VE。齐纳二极管的反向击穿电压为47V,光耦合器的LED的正向电压为1.2V,使启动电压达到48.2V。任何低于此值的电压都会使光耦合器输出升高。当电压超过启动电压时,光耦合器中的晶体管饱和,将输出拉低。输出在输入电压降到启动电压之前继续保持低值。

产生的输出为一个有固定时间tTOTAL的方波,它会根据输入电压高于启动电压的时间长短而改变。如果输出的电压从120V变化到到144V,产生的方波波形会加宽,如果电压下降,脉冲宽度也减小。为了得到计算此电路的公式,可以将输入波形视为余弦函数。由于在零时间处输入电压达到峰值,此时光耦合器电路导通,输出电压较低。输出电压保持低值,直到输入电压低于启动电压。下列公式可计算这种变化出现的时间:
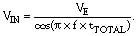
VE=VIN×cos(2×p×f×tON).
由于余弦函数以零为对称点,时间tON为输出脉冲较高时的总时间的一半。由于微处理器定时器端口经常采集时间,最简单的利用脉冲宽度计算输入电压的方法,是用总时间来替换导通时间,就可以解出公式,求得输入电压,其结果为所测量的光耦合器脉冲宽度输出的函数。
可以用软件或将脉冲宽度转换为输入电压的查寻表来完成此公式。切记输入电压为峰值交流电压,如果有必要,必须将其转换成RMS值。由于输出频率与占空比无关,可将此电路用作时钟线路。输出为恒定的60Hz,可以用作计时。由于占空比沿时间偏移实际的零交叉,如果根据输入电压将此时间外插到零交叉,还能将其用作零交叉负载驱动。
在此电路中还要注意其他一些设计原则。当交流输入变为负时,D2保护光耦合器中的二极管。在某些情况下,由于流过网络的反向漏电保证了LED不会超过其最大的反向电压,所以光耦合器二极管不受任何影响。然而,采用对二极管进行旁路是对使用二极管的光耦合器电压进行钳位的最佳途径。增加此二极管并非有利无害,虽然可将电路中静态电流增加一倍以上,但由于将此电流施加到交流线路上,就要考虑输入电路中的电阻的能量消耗及功耗。
如果需要更准确地估计输入电压,还有一些选项可提高电路的功能。这种变动的主要来源为齐纳二极管电压5%的容差。5%的电压波动对输入电压大小的估计会形成较大的误差。规定一个更精确的二极管或校定每个电路板(可应用一个已知的输入电压并将该值储存在内存中作为固定校定),可提高该电路的整个精度。


