- 易迪拓培训,专注于微波、射频、天线设计工程师的培养
基于正交矢量放大的MRS信号采集模块设计----背景及其原理
1.1研究背景及意义
本文研究内容为“十一五”国家科技支撑计划重大项目和吉林省科技支撑计划基金资助项目:核磁共振找水仪研制与开发课题中的一部分。核磁共振找水仪科研样机是由吉林大学仪器科学与电气工程学院核磁共振项目组,为探测地下150米以内含水层而设计。本论文研究的核磁共振信号采集模块是核磁共振找水仪科研样机的采集模块。
水是人类赖以生存的基本物质。尽管地球上水的总量巨大,但是占总量97.4%的海洋水等现在还不能被人类大规模的直接利用,人类需要的淡水只占总量的2.6%。而淡水资源中的大部分约占淡水总量87%位于两极及高山的冰川、冰冠,以及现在人类还不能利用的深层地下。现今人类主要利用的淡水资源包括河水,湖泊水和浅层地下水的一部分,其总量只占地球总水量的0.2%.
人口增长,工业发展和灌溉农业的扩张等因素引起的水资源缺乏问题,已经与资源问题,环境问题成为威胁人类生存的三大问题。现在世界约有1/3的人口生活在中度和高度缺水的地区,有40%的人口面临严重缺水的威胁。我国也是一个水资源短缺的国家,水已经越来越限制和影响着我们各项事业的发展。目前全国600多个城市中,400多个缺水,其中100多个面临严重缺水。
在众多解决水资源缺乏途径中,合理有度的开采地下水是一条有效,可行并且可以是经济的方法。地下水具有水量稳定、水质好和处理费用低等优点。目前欧美等许多国家的地下水在供水中的比例达到50%,与之相比我国的地下水在总供水中的比例只为16%,可以看出我国地下水资源利用潜力比较大。所以科学、合理的开发利用地下水是解决我国目前水资源缺乏的重要途径之一。
地下水资源总量虽然比较丰富,随着人类开发利用程度加深,开发成本低廉、对技术要求低的浅层地下水的开采潜力已经不大,只能向更深的地层寻找地下水。地层越深对勘探技术的要求越高,需要更加可行、有效、稳定和成本较低的勘测仪器与之相配套。目前水资源探寻方法主要有核物理法、激发极化法、电阻率法、声频大地电磁法、和核磁共振找水法等.核磁共振找水(Magnetic Resonance Sounding,缩写为MRS)方法是目前世界上唯一的可以直接寻找地下水的地球物理方法[3][4].与其它找水方法相比主要优点有:
1.直接找水,特别是找淡水。在该方法的探测深度范围内,地层中只要有自由水存在,就有MRS信号,反之,则没有响应。
2.该方法受地质因素影响小。
3.反演解释具有量化的特点,信息量丰富。该方法反演解释后可以得到各含水层的深度、厚度、单位体积含水量,并可提供含水层平均孔隙度等信息。
4.经济,快速。核磁共振测点的费用仅约为地质勘探钻孔费用的1/10.可以快速地得到地下水分布直方图等地质信息
.核磁共振信号采集模块能够有效地提取信号的初始幅度、初始相位等关键参数,这些参数能够反映地下含水层水量的大小、地下物性界面的起伏情况、地下介质的渗透性以及出水量大小的估计[6].所以说核磁共振信号采集模块是提高弱信号检测能力的重要部分,是实现对微弱核磁共振信号提取的关键部分,其性能直接影响了整套仪器的性能。
1.2国内外发展现状
1962年,美国的R H Varian曾经提出过利用核磁共振现象寻找地下水的构想,但是以后没有商业用仪器的发布及相关学术报道。1965年,中国的张昌达、崔岫峰等也曾经进行过核磁共振技术找水的初步试验,整体方法思路是基本正确的,但由于当时的技术条件等限制,最后没有找到地下水核磁共振信号。他们最后都没有提出可行的核磁共振技术器及其方法,但是他们所做的前期性研究依然是核磁共振找水技术领域不可或缺的工作。
1978年,前苏联科学院(后为俄罗斯科学院)西伯利亚分院化学动力学和燃烧研究所(ICKC)以A.G.Semenov为首的一批研究人员,开始了核磁共振技术找水方法的研究,3年后研制成功了世界上第一台原理样机,在其后的10年时间内,他们对仪器做了进一步的改进。他们在研制开发,改进仪器的同时,还进行了解释方法的研究。并且在前苏联境内的俄罗斯、立陶宛、哈萨克斯坦、乌克兰、北极圈附近和美国、澳大利亚、以色列、法国、中国等国家进行了方法效果试验,取得了世界领先的研究成果。
1994年,法国地调局(BRGM)的IRIS公司购买俄罗斯找水仪专利,并于1996年生产出了新型的核磁共振找水仪-核磁感应系统(NUMIS),法国成了世界上第二个研制核磁共振找水仪的国家。
中国原地矿部信息研究院崔霖沛高级工程师最先向国内介绍了核磁共振技术在找水方面的最新应用。1992年,中国地质大学(武汉)核磁共振技术找水科研组开始核磁共振技术的研究,取得了一定的研究成果。中国地质大学的潘玉玲教授、张昌达教授等于1997年引进法国IRIS公司生产的核磁共振找水仪NUMIS,揭开了我国核磁共振直接找水的新篇章。国内的有关单位也引进了NUMIS系统和NUMIS+系统,在我国的湖北,湖南,福建,内蒙古,新疆等省市进行了实际找水工作.目前,在国内水利部牧区水利科学研究所利用NUMIS系统在内蒙古自治区及蒙古国进行大量的找水工程。同时中国地质大学利用该仪器在滑坡监测、坝堤渗漏、考古等领域进行了研究。吉林大学仪器科学与电气工程学院自2001年开始进行理论及仪器的研究,目前已开始利用自主研发的JLMRS找水系统解决实际问题。
1.3本论文的主要内容
本文在掌握核磁共振找水技术原理的基础上,作为吉林大学教育部地球信息探测仪器重点实验室核磁共振项目组的一部分,主要对经过核磁共振放大器放大后的核磁共振信号进行采集。获取核磁共振信号实际上是获取其包络信号,称为自由感应衰减信号(free induction decay,缩写为FID信号).本文所研究的内容是根据乘法型正交矢量锁定放大器的基本原理,利用CPLD和D/A转换器进行核磁共振信号和参考信号相乘,实现信号正交矢量放大功能,提取出FID信号,获得核磁共振找水探测的各关键参数。根据FID信号包含的参数,对地下水信息进行反演,确定地下水水量、地层结构等信息,以指导工程实践。本论文具体结构和内容包括:
第一章为绪论,主要介绍了本文的研究背景和意义,国内外的发展现状。
第二章为基本理论,首先介绍了核磁共振找水的原理,再通过分析核磁共振信号的特点,提出了基于正交矢量放大方法的核磁共振信号包络采集模块的设计方案。最后通过仿真验证了该设计方案的可行性。
第三章对采集模块的技术指标做了介绍,并给出了采集模块的整体设计框图。
第四章介绍了采集模块的硬件设计,给出了主要电路的设计思路和一些调试过程中的实测结果。
第五章介绍采集模块的软件实现。包括单片机软件实现、CPLD软件实现和上位机主控软件说明。
第六章对采集模块进行了一系列室内测试及野外实测,并对测试结果进行了分析说明。
第七章对全文进行总结,并提出进一步的改进建议。
第二章核磁共振信号采集模块的原理及分析
2.1核磁共振找水原理
核磁共振是原子核的一种物理现象,指具有核子顺磁性的物质选择性地吸收电磁能量。氢核是地层中具有核子顺磁性物质中磁旋比最大的核子。水中氢核在内的多种原子核均具有一个不为零的偶磁矩,描述磁矩存在的经典模型是旋转着的带电粒子。
如果一个磁矩为M的自旋带电粒子被放在强度为B0的磁场中时,磁矩将承受一个使其与磁场趋于平行的扭力矩。因为地下水中的氢核具有核子顺磁性,它又是地层中具有核子顺磁性的物质中丰度最高的粒子,所以在地球磁场B0的作用下,氢核将处于一定的能级,同时氢核表现出沿地球磁场方向排列的磁矩.图2.1为M的运动情况。

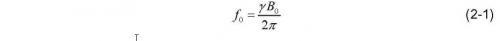
结果,该磁矩将围绕外加磁场并按照拉莫尔方程决定的旋进频率f0(Lamor频率)旋进,其中:

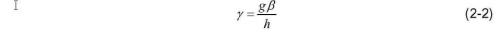
式中γ为旋磁比,由下式决定:

式中g为朗得因子,是粒子的自旋运动或轨道运动相对于其总角动量的度量。对于一个电子,g等于2.0023,而对于氢核,g为5.58490.自由电子和水中质子的玻尔磁力β分别为9.2712×10-21和5.04593×10-27J/T.h是普朗克常数,h= 6.626×10-34J .s.
把这些值代入(2-1)、(2-2)式中并取国际制单位,我们就得到水中的质子旋进频率为:

式(2-3)的重要特征是旋进频率与粒子磁矩和极化场方向的初始夹角无关。为了改变粒子的取向则必须要改变磁能,可以在与地球磁场垂直的方向上加入一个交变磁场去激发地下的11H质子,并让其激发磁场频率等于拉莫尔频率,拉莫尔旋进的方向取决于磁矩的符号,于是氢核11H的磁矩就会偏离地球磁场的方向从而形成宏观磁矩。这一宏观磁矩在磁场中产生旋进运动,其旋进频率为氢核11H所特有。当激发场停止后,宏观磁矩又会恢复到沿着地球磁场的方向,在这个短暂的恢复过程中,氢核11H将围绕地球磁场进动,从而产生一个按指数规律衰减的电磁信号即MRS信号,可以用仪器的天线接收这个电磁信号,即可探测地下水的存在.MRS信号示意图如图2.2所示。

MRS信号可用下式来表示:

式中E0(q)为MRS信号的初始振幅。q =I0τ为激发脉冲矩,I0、τ分别为激发电流脉冲的幅值和持续时间。ψ0为MRS信号相对于发射电流的初始相位,是天线中测量到的衰减信号与激发电流之间的相位差。T2*为平均衰减时间。E0(q)的强弱与氢核的数量及分布有关,即与所研究空间内的含水量成正比,T2*与含水层的平均孔隙度大小有关,ψ0与地下水的导电性有关.对测得的MRS信号作适当处理、解释,就可以确定地下水的分布。
在核磁共振探测地下水方法中,通常向铺在地面上的线圈(发射/接收线圈)中供入频率为拉摩尔频率的交变电流脉冲,交变电流脉冲的包络线为矩形。在地中交变电流形成的交变磁场激发下,使地下水中氢核形成宏观磁矩。这一宏观磁矩在地磁场中产生旋进运动,其旋进频率为氢核所特有。在切断激发电流脉冲后,用同一线圈拾取由不同激发脉冲矩激发产生的核磁共振信号,该信号为幅度按指数规律衰减的正弦信号。核磁共振信号强弱或衰减快慢与水中质子的数量有直接关系,即核磁共振信号的幅值与所探测空间内自由水含量成正比,这就是核磁共振找水方法的原理.图2.3为核磁共振找水探测原理图。

MRS信号比较微弱,只有nV级,当采用100米发射/接收线圈时,产生的核磁共振信号范围大概几十nV~3000nV,易受各种噪声干扰,本文的主要工作是设计适合核磁共振信号的采集模块。
2.2核磁共振信号采集方法分析
如前文所述,MRS信号可以看做是一个调幅波,而参数提取过程就相当于解调过程。用包络检波的方式可以方便快捷地提取MRS信号的关键参数。而且采集信号的包络不需要很高的采样率,这就大量地减少了采集数据,提高了系统的运行速度。
常用的包络检波电路是由检波二极管和RC低通滤波器组成的,如图2.4所示。

二极管包络检波电路是通过二极管导通时对电容充电和二极管截止时电容对电阻放电来实现包络提取的。但是这种方法不适合核磁共振信号。首先它无法鉴别MRS信号的相位ψ0,其次包络检波电路本身不具备区分不同频率信号的能力,对于不同频率的信号它都以同样方式对它们整流、检波,这就是说它不具有鉴别信号的能力。
本文针对核磁共振信号在同一个地点频率单一的特点,提出一种相敏检波的方法来实现MRS信号包络的采集。利用正交矢量锁定放大器同时对MRS信号进行频率和相位的鉴别,不仅可以方便地提取出MRS信号的E0、E0(q)、ψ0等关键参数,满足后期数据处理、反演解释的需要,而且可以进一步地提高信噪比。
2.2.1锁定放大器工作原理锁定放大器(lock-in amplifier,LIA)抑制噪声有3个基本出发点[13]:
(1)用调制器将直流或慢变信号的频谱迁移到调制频率ω0处,再进行放大,以避开1/f噪声的不利影响。
(2)利用相敏检测器实现调制信号的解调过程,可以同时利用频率ω0和相角θ进行检测,噪声与信号同频又同相的概率很低。
(3)用低通滤波器而不是用带通滤波器来抑制宽带噪声。低通滤波器的频带可以做得很窄,而且其频带宽度不受调制频率的影响,稳定性也远远优于带通滤波器。
锁定放大器对信号频谱进行迁移的过程如图2.5所示。调制过程将低频信号Vs乘以频率为ω0的正弦载波,从而将其频谱迁移到调制频率ω0两边,之后进行选频放大,这样就不会把1/f噪声和低频漂移也放大了,如图2.5(a)所示。图中的虚线表示1/f噪声和白噪声的功率谱密度。经交流放大后,再用相敏检测器(PSD)将其频谱迁移到直流(ω= 0)的两边,用窄带低通滤波器(LPF)滤除噪声,就得到高信噪比的放大信号,如图2.5(b)所示。图中虚线表示LPF的频率响应曲线。只要LPF的带宽足够窄,就能有效地改善信噪比。

锁定放大器的基本结构如图2.6所示,包括信号通道、参考通道、相敏检测器(PSD)和低通滤波器(LPF)等。

信号通道对调制信号输入进行交流放大,将微弱信号(nV数量级)放大到足以推动相敏检测器工作的电平,并且要滤除部分干扰和噪声,以提高相敏检测器的动态范围。
参考输入一般是等幅正弦信号或方波开关信号,它可以是从外部输入的某种周期信号,也可以是系统内原先用于调制的载波信号或用于斩波的信号。参考通道对参考输入进行放大或衰减,以适应相敏检测器对幅度的要求。参考通道的另一个重要功能是对参考输入进行移相处理,以使各种不同相移信号的检测结果达到最佳。
PSD是锁定放大器的核心部件,它的输出不仅取决于输入信号的幅度,而且取决于输入信号与参考信号的相位差。常用的相敏检测器有模拟乘法器式和电子开关式,实际上电子开关式相敏检测器相当于参考信号为方波的情况下的模拟乘法器。
PSD以参考信号r(t)为基准,对有用信号x(t)进行相敏检测,从而实现图2.5所示的频谱迁移过程。
将x(t)的频谱由ω=ω0处迁移到ω= 0处,再经过LPF滤除噪声,其输出u0(t)对x(t)的幅度和相位都敏感,这样就达到了既鉴幅又鉴相的目的。因为LPF的频带可以做得很窄,所以可使锁定放大器达到较大的信噪比.
2.2.2正交矢量型锁定放大器
信号的幅度是按低频调制信号变化的,如果把高频调幅信号的峰点连接起来,就可以得到一个与低频调制信号相对应的曲线,这条曲线就是信号的包络线。正交矢量型锁定放大器是检测微弱信号包络曲线最常用的方法,如图2.7所示为其原理框图。

正交矢量型锁定放大器需要两个相敏检测器系统,它们的信号输入是同样的,但两个参考输入在相位上相差90°,在同相通道中PSD1参考输入的相移为θ(0~360°),正交通道中PSD2参考输入的相移为θ+90°。
同相输出为

而其正交输出为

由这两路输出可以计算出被测信号的幅度Vs和相位θ:

上一篇:实现RMS-OC 变换的RF集成电路
下一篇:瞬变电磁法弱信号检测技术研究


