- 易迪拓培训,专注于微波、射频、天线设计工程师的培养
具有无线通信功能的光纤黑体腔高温传感器设计
1 引言
温度作为一种重要的热工参数,在工业生产中很多场合要求实现实时自动监测和控制温度,而高温的准确及快速测量在冶金、化工、能源、建材等工业领域中有着十分重要的意义。目前主要有接触式的热电偶测温和非接触式的辐射测温两种方式。虽然接触式测温能够比较准确的测出被测温度场的真实温度,但接触式测温在测量时必须与被测温度场接触,这样破坏了被测温度场,使测出的温度与真实温度有一定的误差。非接触式测温克服了上述的误差,但非接触式测温由于受到测温距离、物体发射率等影响,其测出的温度也不准确。与传统的热电偶温度计和辐射式温度计相比,光纤黑体腔高温计能应用于任何场所,不受空间和环境限制,不仅延长了使用寿命,提高了接触法测温的测量上限,而且避免了辐射式测温的较大误差,提高了测量精席。
2 传感器工作原理
传统的高温测量一般采用光纤辐射式温度测量系统,针对传统辐射式温度测量系统测温精确度低,易腐蚀,寿命短等不足,采用黑体腔结合光纤辐射式测温系统组成的接触式高温测试系统以普朗克黑体辐射理论为基础,利用黑体腔接触温度源,应用光纤辐射温度测量系统对黑体腔辐射进行测量,以此实现温度源的测量。
首先在蓝宝石单晶光纤的一端镀制一层陶瓷薄膜,然后再套上耐高温的不锈钢外壳,形成黑体腔探头。将黑体腔探头放入被测温度场中,黑体腔外表面吸收来自被测物体发出的热辐射信号,与此同时黑体腔内表面发出热辐射信号,这种热辐射信号通过光纤耦合器并经光纤传输后通过干涉滤光片。再由固态光电倍增管SSPM(Solid-state Photomult iplier)接收,最后通过相关信号处理电路后输出结果。传感器的工作原理如图1所示。

3 光纤黑体腔的构成
黑体腔探头的设计是蓝宝石光纤高温传感器研制的关键,为了得到最优化黑体腔传感器探头,必须对影响黑体腔有效发射率的因素进行分析。黑体空腔传感器由于几何结构特点以及腔外环境温度等因素的影响,其积分发射率必然小于1,且具有较大的不确定性。因此建立黑体腔腔体的结构模型和有限元模型,并研究其几何特性、温度分布等因素对腔体发射率的影响,对于黑体空腔的优化设计和提高测温系统的准确度具有重要的意义。近年来,人们采用各种方法计算黑体腔发射率,主要有多次反射法、Monte—Carlo法和积分方程法。2008年刘仁学等建立了圆筒形黑体空腔有限元模型,运用ANSYS对黑体腔腔体发射率进行了仿真,仿真结果与公式计算结果具有较好的一致性。本文采用积分方程理论,建立了黑体腔结构模型,对黑体腔的结构参数进行研究,分析各个参数对黑体腔腔体发射率的影响。
3.1 黑体腔结构模型
以常用的圆筒型黑体腔为例,其结构模型如图2所示。图中,r为黑体腔筒底坐标轴、x为侧面坐标轴,z为盖面的坐标轴;L为圆筒筒长;Z为圆筒半径;R0为圆筒开口半径;RD为接收器半径;H为接收器到腔口的距离。

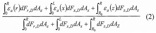
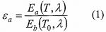
黑体腔腔体的有效发射率εa定义为:
根据以上圆筒型腔体模型,可以求解得到黑体腔内各个节点的有效发射率,然后根据以下公式得到黑体腔积分发射率:

通过计算黑体腔积分发射率,分析各个结构参数对黑体腔发射率的影响,提高黑体腔性能。
3.2 圆筒型腔体发射率分析
以常用的带盖圆筒形黑体腔为例,分析黑体腔腔体长度、开口半径大小、腔体材料发射率、接收器到腔口的距离对黑体腔发射率的影响。
以腔体底面半径R为标准,当R=1,长径比L/R=5,材料发射率ε分别取0.1、0.5、0.8,孔径比R0/R分别取0.1~0.9,腔体发射率如图3所示:

由图3可知,腔体发射率受腔体开口大小的影响,孔径比R0/R值越小腔体发射率越大,但从应用上考虑,黑体腔的开口应足够大,可为接收器提供较大的视场。腔体的材料发射率ε对黑体腔的影响与腔体的其他因素相关;当R0/R较大时,腔体的材料发射率对腔体发射率的影响较大,但当R0/R较小时,腔体的材料发射率对腔体发射率的影响就很小了。
当孔径比R0/R=0.5时,材料发射率ε分别取0.1、0.5、0.8,长径比L/R分别取1~10,腔体发射率如图4所示:

由图4可以得出长径比L/R是影响黑体腔发射率的重要因素之一,L/R越大,腔体发射率越大,但是随着L/R增大到一定程度时,其腔体发射率的变化已不大,而且腔体长度过长会增加黑体腔制造成本。
当圆筒形黑体腔结构参数为:L=10,R=2,R0=1,ε=0.1,H分别取0~40时,黑体腔积分发射率的变化如图5所示。
接收器到腔口的距离H对黑体腔的影响很大、εc随着H的增大先增大后减小,逐渐趋于稳定、这主要是由于腔壁的分布不均匀性导致。考虑具体现实条件H取值范围在10左右。
综上可知,黑体腔腔体长度、开口半径、材料本身发射率、接收器到腔口的距离对黑体腔发射率都有影响。当黑体腔长径比为3—5,孔径比为0.5,接收器到腔口的距离为10左右,腔体材料本身发射率较高时,黑体腔腔体发射率较高。
4 光电转换模块
光电探测部分的设计也是蓝宝石光纤高温传感器的关键技术之一,它直接影响着整个传感器的响应时间、灵敏度等因素。本文的光电转换模块由SENSEL公司的SPMMicro103 5x18型固态光电倍增管(如图6所示)和与之配套的跨阻放大器组成,该模块主要是对微光信号进行探测及放大,能同时检测交流和直流信号,有较好的信噪比。该SSPM外形较小,感光面积仅为1 mm2,共有400个工作于Geiger模式下的APD微元,其增益大于106,响应时闯小于100ns,具有较低的供电电压,在可见光范围内具有较高的光子探测效率,约为13.5%(如图7所示)。根据维恩位移定律得知温度升高时,辐射强度的最大值向短波方向移动,所以此SSPM符合高温测试的需求。

5 无线通信模块
典型的光纤高温测试系统由被测对象、测温主机、发射传输装置及接收装置组成。本文采用测量主机与无线通信从机的双机模式实现。图8为测量主机原理框图,测量主机完成温度数据的采集处理,由光纤高温测试系统和单片机MSP430F149组成。采用多路AD芯片(MSP430内部AD)实现模拟量到数字量的转换,并且留有其它模拟量的测量通道,可扩展诸如湿度等其他模拟量的监控。为了补偿环境温度可连接环境温度传感器DS18B20。采用无线收发模块PTR8000模块实现数据的无线传输,讯通公司的PTR8000带有内置环形天线,可直接与单片机连接,无须外接其他器件,实现数据的无线收发。

无线通信从机实现数据的接收。为了完成PTR8000与PC机的数据交换在无线通信从机中使用RS232接口。在监控PC机上,采用C++开发上位机的人机接口界面。系统电路(见图9)分为测温及发射板(测量主机)、接收板(无线通信从机)该系统中主机的任务是完成数据采集与处理,包括进行A/D转换、环境温度补偿,对即将传送来的数字信号进行组织处理。发射端的PTR8000将单片机的信息调制成射频信号发出,接收端的PTR8000模块将接收到的信息,解调成为TTL电平,由单片机处理后经由RS232接口送到PC,供计算机后期处理。

6 实验及结论
为了验证系统的性能,以氧炔焊机作为热源对其进行测试。传感器测试装置由氧炔焊机、蓝宝石光纤传感器、红外辐射测温仪、计算机组成。其中,氧炔焰最高温度可达3000℃,红外辐射测温仪通过高温黑体炉校准,测温范围为1000~3000℃。首先开启并调节氧炔焊机使其达到一定温度,利用红外测温仪测得温度,然后将传感器黑体腔探头快速接触热源测得其信号。表1为系统测温数据,实验表明,蓝宝石光纤黑体腔高温传感器测温范围为800~2000℃,测温精度为测量精度为1%,测量重复性为0.3%。

综上所述,此测量系统具有测温范围广、响应快、稳定性高、抗电磁干扰性能强等优点,能进行特殊环境下的实时高温测试。在冶金、机械、化工、建材等行业的被测体温度的测量与在线控制中有广泛应用前景,对产品的质量保证与控制有重要意义。
上一篇:基于UHF
RFID技术的室内定位系统设计
下一篇:中国赛宝实验室采用是德科技低频噪声测量系统进行器件可靠性研究


