- 易迪拓培训,专注于微波、射频、天线设计工程师的培养
基于空间电磁信号的频谱分析
摘要 旨在分析空间电磁信号的时域形式和频谱特性。针对雷达设备提出了构造空间电磁信号时域波形的方法,并对信号进行频谱分析,得出检测点的功率大小。有助于分析复杂战场情况下的空间电磁强度的分布。最后通过仿真分析验证了所提方法的正确性和有效性。
关键词 频谱分析;电磁信号;功率
战场电磁环境对战争准备和各种军事活动,尤其对战场感知、指挥控制、作战行动、武器效能、战场建设等方面影响深刻。而信息化条件下,战场电磁环境具有无法预知的复杂性、难测性。构成战场电磁环境的要素有多种,但人为电磁活动是最活跃的因素。电磁环境是无形的,无法直观感受,分析其构成与特征对于认识战场电磁环境至关重要。因此对空间电磁信号和强度的分析成为了一个重要的研究课题。在空间电磁信号和强度分析中,频谱的分析必不可少。
文中针对实际战场的电磁环境,提出了空间电磁信号频谱分析的理论及其实现方法,并针对信号采样、信号时域与频域的关系进行了说明。对文中涉及的方法进行了仿真实验,验证了所提方法的正确性和有效性。文中提出的空间电磁信号的频谱分析及其实现方法,为电子战的攻防双方进行对抗实施和对抗效能评估提供了接近实际电磁环境的分析和实验方法。
1 信号的时频关系
1.1 采样定理
假设信号的频率范围为[fL,fH],根据奈奎斯特采样定理,采样频率必须大于信号最高频率的2倍,才能保证信号在频域不发生混叠,但由于雷达信号经常会发射很高中心频率的信号,例如10 GHz,而发射信号的带宽一般在MHz量级,如果按照奈奎斯特低通采样定理的以中心频率的2~3倍采样会给系统造成很大的负担。
为此采用带通采样定理,设带通信号在[-fL,fH]范围内可以容纳m次频移仍不会产生频谱混叠,可得

1.2 带通采样后的频谱特点
假设信号的中心频率为fc;带宽为B。图1是分别采用低通和带通采样定理的频谱图形。

实验发现,采用带通采样定理后频谱发生了搬移,中心频率在频谱图上不再是fc,而是其他值,但频谱形状和带宽保持不变。
采用带通采样后的频率与原始信号的频率关系为

式中,f为原始频率;fl为带采后频谱图上对应的频率;
((n))N表示n对N求余。
1.3 信号的幅值与功率的关系
设信号的时域形式为x(t);信号持续时间为τ,对该信号以fs进行采样,得到N个点的离散信号,则时间、采样频率与点数之间的关系为
τ=N/fs (4)
对该离散信号x(n)进行点FFT,即得到信号的频谱,设每个点上的谱线值为H(n),由于FFT每个谱线上的值都是傅里叶变化的N点叠加,需要对FFT变化后的频谱进行归一化,所以信号的功率为
如果是二维信号,由于信号有实部和虚部,则幅值与平均功率的关系为P=A2
2 空间电磁信号的时域形式与功率
2.1 自由空间中电磁信号的功率
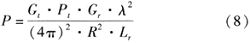
空间中的电磁信号是复杂、多样的,以空间作战中最常出现的雷达为例,计算自由空间中的电磁信号。根据雷达方程,空间中某接受点处雷达信号的功率为
![]()
式中,Pt和Gt分别表示雷达的发射功率、发射天线增益;σ表示空间接受点处的截面积;R表示雷达与目标点之间的距离;Lr表示雷达的系统总损耗。其中σ=,所以功率为
![]()
式中,Gr为接受点处的接受天线增益;λ为发射信号波长。
2.2 电磁信号的时域形式
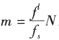
设空间具有多部雷达,其中每个雷达位置矢量为Lri,而发射信号为sr(i,t),其中i表示雷达的序号,且i=1,…,M。
根据根据信号幅值与功率的关系,第i个雷达发射机到达测试点的幅值为
式中,Ri表示第i个雷达发射机到测试点Pm之间的距离;c表示光速;Ri/c表示观测点到各发射机之间的传输延迟。
2.3 电磁信号的功率
对时域信号s(Pm,t)进行N点FFT,得到电磁信号的频谱。对频谱按照式(5)对接受频段进行计算即得到接受点处接受到的信号功率。
但是该频谱是根据式(5)搬移后的频谱,需要对频谱进行还原。在还原的过程中发现搬移接收频段计算功率更简易,所以采用如下方法进行计算:
(1)对接受频率f进行搬移,计算接受频率在频谱中的频率fl。
(2)计算fl在频谱中的谱线位置
,读取频谱中该点的谱线值。
(3)对该谱线值乘以滤波系数,归一化后取平方。
(4)遍历接收频段,将式(3)中的值相加即得到接收功率。
3 电磁信号的频谱分析
为验证所提出算法模型以及实现方法的正确性,利用VC软件进行了软件编程和仿真实验并用Matlalc将计算的结果显示。
以雷达为例,雷达信息如下:
雷达位置:经纬高(119.5°,19.5°,100 m);方位扫描范围(0°,180°);俯仰扫描范围(30°,90°);发射中心频率2.5 GHz;带宽10 MHz;发射功率50 kW;信号仿真持续时间5μs;发射波形:线性调频信号;设接收处的接收中心频率为2.5 GHz;带宽10 MHz。
通过系统仿真计算,得到采样频率fs=20040 080.32,采样点数N=1 024。
将计算的频谱信息写文件,用Matlab画图得到波形如图2和图3所示。

通过式(3),将中心频率进行搬移得((fc))fs=((2 500 000 000))20040 080.32=15 030 080与图1上的中心频率相符。
通过计算2.3节的步骤(2),得到点位置m=
,与图2的中心频率点位置相符。
将频谱通过滤波器并将滤波器的频谱按照式(3)进行搬移,得到如图4所示的结果。可以看出测试结果与输入相符。

以雷达信息为例,应用文中方法,计算空间中一个区域的电磁强度,并对结果进行检测。
设区域位置:经度范围(119~120);纬度范围(19~20),高度100 00 m。

仿真结果如图5和图6所示,可以看出方位扫描范围为(0~180),这与输入的方位信息匹配,而且雷达天线主瓣覆盖的区域空间强度明显较大,波瓣明显。这都验证了信号产生和频谱分析的正确性。
4 结束语
针对空间中电磁信号,对其产生和频谱分析,以及涉及的采样频率、采样点数、频谱搬移、功率与频谱的关系等给予说明,并通过仿真验证了所提方法的正确性。这对了解空间复杂的电磁环境和强度分析提供了帮助。
上一篇:频谱分析仪测量场强方法
下一篇:你必须知道的!示波器在频谱测试中的作用


