- 易迪拓培训,专注于微波、射频、天线设计工程师的培养
航空发动机位置检测电路设计
摘要:航空发动机位置检测是发动机的重要检测项目,位置检测可以通过在检测位置加装专用电阻式位置传感器来实现,电阻式位置传感器将位置的变化转换成与之呈线性关系的电阻值的变化,然后再经阻值测量电路,实现对位置信号的测量。本文设计了一种基于恒流源方法的阻值检测电路,较好地解决了发动机位置检测的问题。
关键词:位置检测;电压转换;恒定电流;位置传感器
1 恒流源阻值检测电路
恒流源法是指向电阻Rx(电阻式位置传感器阻值)提供恒定电流Is,通过测量输出端电压Ux可以计算出电阻值Rx的方法,如图1所示。输出电压关系式为


恒流源的产生方法很多,本文利用运算放大器OP07产生,如图2所示,由OP07组成负反馈电路,正相输入端为固定电压Ui,则反相输入端也为Ui,由于OP07的输入阻抗极高,输入端可以认为不吸入电流,因此从R电阻上流过的电流大小固定,而且一定等于OP07输出端流过电阻Rx的电流,由此得出电流Is的关系式为

但实际使用中发现,恒流效果并不理想,究其原因是运算放大器正相输入端电压的稳定性不好造成的。解决的办法是利用高精度的恒压源AD581输出稳定电压作为运算放大器正相输入端电压,有效地提高了恒流效果,最终的电阻值测量电路如图3所示。

2 电压转换电路
为了把电阻式位置传感器输出的电压信号转换成-5V~5V范围送入数据采集卡,以满足计算机检测的需要,还需要利用运算放大器OP07设计电压放大器、电压跟随器和减法器组成调理电路。
根据运算放大器工作原理可知,图4中图3电阻值测量电路

由式(3)得闭环电压放大倍数为:

这样就形成了电压放大器,电压放大倍数与运算放大器本身的参数无关。
式(4)中,当R1→∞(断开)或RF=0时,则

这样就形成了电压跟随器,电压跟随器能有效地提高电压输入信号的阻抗。

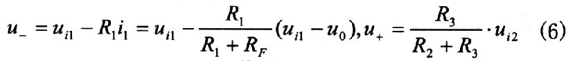
由图5可列出关系式

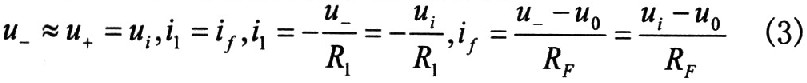
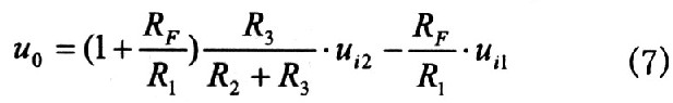
根据运算放大器工作原理可知u-≈u+,由式(6)可得出

当R1=R2=R3=RF时,式(7)变为
这样就形成了减法器,减法器的输出电压u0等于两个输入电压的差值。
3 位置检测电路
X2位置检测电路如图6所示,AD581输出的+10V稳定电压经过电阻分压产生+1V的基准电压,根据式(4)将电阻(图6中虚线框电阻)选择为250Ω将会形成4mA的恒定电流。若传感器(图6中的X2)的阻值范围是0~2kΩ,所以4mA恒定电流流过传感器产生0~8V的电压,再加上1V的基准电压,送入由运算放大器OP07制作的减法器的正相输入端是1v~9V范围的电压。另外,AD581输出的+10V稳定电压经过电阻分压产生+5V的电压经过电压跟随器送入减法器的负相输入端。根据减法器的原理,其输出电压范围在-4v~4v,该电压通过放大倍数为1.25的放大器最终形成-5V~5V范围的电压信号,经过稳压二极管限压后,送入数据采集卡的7通道。

4 位置检测电路实验
某型发动机位置检测电路的精度要求是±1‰,同时要求输入一输出严格呈线性关系。下面利用精密电阻模拟X2传感器对X2位置检测电路进行实验,在0~2kΩ范围内每隔250Ω模拟X2传感器阻值,同时测量检测电路输出。实验重复进行三次,然后对三次测量数据取平均值作为实际输出值,并与理论输出值比较,如表1所示。

5 结论
本文基于恒流源方法设计了发动机位置检测电路,该电路经实际使用,检测精度达到了±1‰,且输入一输出严格呈线性关系,很好地满足了发动机位置检测的要求,此电路选择不同的电阻(图6中虚线框电阻),可满足不同位置传感器的要求,具有很好的通用性。
上一篇:基于CS5463的高速功率计算
下一篇:基于微波的粮食水分检测系统设计


