- 易迪拓培训,专注于微波、射频、天线设计工程师的培养
管道无损检测超声轮式换能器的研制
油气管道系统是现代社会和国民经济中十分关键的传输系统.目前对管道的制作,管线的设计、安装和运行都有严格的标准及规范,但由于管道自身的腐蚀、材料老化、自然界或人为因素产生的地理环境变迁,都可能造成管线损坏,发生油、气泄漏,造成严重的经济损失和环境污染.因此,管道的在线无损检测是当前十分重要的研究课题.
目前主要的管道无损检测技术有漏磁、超声、涡流和摄像等方法[1],其中漏磁爬行器开发得最早,它对裂纹有很高的鉴别率,但难以精确测定腐蚀的缺陷深度,也不能用于非铁磁材料的管道检测.因此,能精确测量缺陷深度的超声爬行器成为被关注的热点.目前已开发了用于输油管线检测,以清管器为载体的超声爬行器(pigging system)[2],但对于输气管线的检测,超声换能器与管壁之间的声耦合,成为急需克服的关键问题.
在管道内爬行的超声轮式换能器是解决声耦合的可能途径,本文在导出柱坐标下多层媒质中波传播的传输矩阵表达式的基础上,对轮式超声换能器进行理论和实验研究,并自行设计和研制了超声波管道爬行器,对PVC管道外壁的人造缺陷进行了实验检测,证实了该技术的有效性.
1 柱坐标中多层媒质传输矩阵理论
研制的轮式超声换能器如图1所示,宽带超声换能器安装在轮轴上,它通过轮内充满的硅油将声波耦合到PVC滚轮及管道内、外壁.忽略轮子及管壁的弯曲,在理论上可等效为图2的多层媒质中波的传播问题.

通常多层媒质中的波传播采用直角坐标系下的传播矩阵计算[3-6].但由于实际应用的压电换能器都是圆形,声场也是轴对称的.因此,采用柱坐标系导出传输矩阵与实际情况更一致.
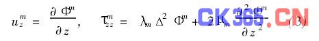
根据弹性波理论,对于轴对称情况下,第m层媒质的质点位移μm可用其势函数Φm和Hm来表示

令Hmθ=Ψ,Φm和Ψm满足波动方程

式中:c1m=λm+2μmρm和c2m=μmρm分别是材料的纵波和横波声速,其中ρm为材料的密度,λm和μm是材料的拉梅常数.
换能器发出的纵波垂直于各层媒质的界面,声波的模式转换忽略不计时,媒质内只有纵波传播.因此,只需求解标量势Ф.这时媒质中的法向位移及应力可表示为

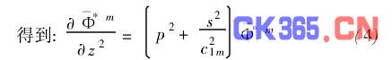
对式(2)中的t做Laplace变换:(r,z,s) =∫∞0Φ(r,z,t)e-stdt,其中s =σ+jω是t在变换域对应的变量,σ为任意实数,j= -1,ω是频率.

对r做0阶Hankel变换:Φ*(p,z,t) =∫∞0Φ(r,z,t)rJ0(pr)dr,其中,p是r在变换域对应的变量为阶贝塞尔函数解为

式中:系数Am和Bm由边界条件确定. [p]
对式(3)做Laplace变换和零阶Hankel变换,得到

同时,由Φ+m和Φ-m的定义,有

在m层与(m+1)层媒质的界面z=zm上,法向应力和位移连续,即

由式(6)~(10),可以得到两层媒质间应力和位移的传输矩阵

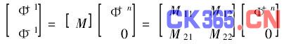
这样,根据式(6)~(11),可以得到n层媒质的传输矩阵表达式

由于第n层媒质中没有反射波,所以Φ-n=0.于是

即得到第一层媒质中的反射回波

式(13)表明,当已知的入射波Φ+1入射到多层媒质时,其反射回波Φ-1可直接由矩阵[M]来计算.对Φ-1做反Laplace及反零阶Hankel变换,就可得到在z=0上,半径r=R处的反射回波,将z=0换能器表面所有接收点的波形叠加就可得到多层媒质的反射回波波形.
2 超声轮式换能器的设计
利用上节的传输矩阵方法可对轮式换能器所需的材料和结构通过数值模拟进行选择.图3是分别选用硅橡胶和PVC做滚轮,厚16 mm的硅油作耦合液,在PVC管道上的反射回波仿真波形.可以看到,硅橡胶与硅油的声阻抗更为接近,声波在耦合液与轮子界面上的反射回波更弱,透过声波能量更多些.但从耐油性、耐磨性等方面考虑,还是选用PVC做滚轮.
进行数值模拟的材料及结构参数如表1所示.

从图3的仿真结果可以看到,轮式换能器接收到的三个界面上的一次反射回波(1)(2)(3)的声时分别为2t1,2t1+2t2,2t1+2t2+2t3.如果管材的纵波声速c3已精确测定那么管壁的厚度d3就可由测量管内、外壁面上的反射回波的声时差2t3来确定

反之,若测量了PVC材料的厚度d3,也可由声时差来确定材料的声速c3.
因此,为了精确测定管道壁厚d3,必须提高声时差(2t3)的测量精度.为此,在结构设计上,首先必须防止各种二次和高次反射回波进入反射回波(2)和(3)之间.
为了避免硅油-滚轮界面的二次反射回波的干扰,就要求t1>t2+t3,即:1c1>2c2+3c3.
为了避免管道内壁上的二次反射回波的干扰,要求t2> t3,即:d2c2>d3c3.
最终选取硅油作为耦合液,厚度d1=16 mm,PVC制作滚轮,厚度d2=12.5 mm.3
选用的超声换能器(Φ16 mm,中科院声学研究所制)在水中的自发自收脉冲波形及频谱如图4所示.它的机械品质因数Q≈3,是一种高灵敏度的宽度换能器.为了消除换能器自身系统响应的影响,还采用了维纳反卷积技术[7],并采用相关技术[8]进行声时差(2t3)的测量,电路中还采用了时间增益控制,提高检测的信噪比及精度.
图5是轮式超声换能器实测的回波信号与数值仿真结果的比较.由于实际压电换能器的发射声场与仿真的矩形分布有一定差异,除实验的反射回波比仿真结果宽一些外,在各回波的到达声时上两者完全一致.结果证实多层结构模型模拟实际检测结果是可行的. [p]

3 管道缺陷的检测
将轮式换能器与驱动系统、控制及采集系统组装成管道爬行器,如图6所示.
在微型计算机控制下,爬行器沿管道轴向向前(或后退)行进,同时定时地向接触界面发射超声脉冲和接收回波.回波信号由TDS3024数字示波器采集,并由微型计算机读取,作数字处理并得出相应的管道剩余壁厚.
实验用的PVC管道长1 500 mm,内径210mm,壁厚7.5 mm,在管道0°和90°方向上人为加工了4个缺陷(图7),实际尺寸如表2所示.爬行器从管口开始自动沿0°或90°向管内爬行,并通过相应的缺陷.这时,在微型计算机上实时显示剩余厚度和轴向宽度的测量结果,结果如图8所示.


图8中第一栏记录的是爬行器的行进距离.第二栏显示了管道剩余厚度和缺陷的轴向长度,缺陷深度由完好壁厚减去剩余壁厚得到.
第三栏是用无缺陷管道外壁反射回波为标准,对测量信号做归一化处理后的归一化振幅信号,用以监测轮子与管道内壁的耦合.
第四栏是回波幅度的灰阶图,表示反射回波的强弱,判断爬行器的运行是否正常.对缺陷槽沿轴向每1 mm测量一次厚度,为表示方便每个缺陷取8次测量结果如表3所示.
表3中测量结果与实际值比较,绝对误差小于0.2 mm,说明所研制的超声爬行器对缺陷深度的检测精度优于±0.2 mm.
对缺陷长度的测量精度不太高,这主要是由于换能器本身不是聚焦的,横向分辨率低,加上缺陷边缘几何形状的影响而造成的.
从四个缺陷的第三栏实测结果可以看到图8a,8d和8c的检测中,爬行器与管壁耦合良好.而图8b的测量中,耦合不稳定,使外壁的反射回波幅度有起伏,但系统仍能提取缺陷的深度信息.


4 结语
在建立柱坐标下多层媒质中波传播的传输矩阵理论的基础上,对轮式超声换能器进行了设计和研制,得到了理论与实验相一致的回波信号,证实了多层结构模型模拟实际检测结构的可行性.利用轮式超声换能器自行开发了超声管道爬行器,对PVC管道上人工缺陷的检测表明,它的深度检测精度可达±0.2 mm,但横向分辨率较差.因此将进一步开展聚集超声换能器的轮式换能器研究,努力改善轮子与管壁的耦合,设计并研制多通道的超声爬行器
上一篇:浅谈智能电网状态检测中的关键技术
下一篇:基于物联网的水文监测系统设计


