- 易迪拓培训,专注于微波、射频、天线设计工程师的培养
如何正确选择合适口径的智能电磁流量计
| 电磁流量计口径的选择 | |||||||||||||||||||||||||||||||||||||||||
1、选择传感器的口径与连接的工艺管道口径相同 | |||||||||||||||||||||||||||||||||||||||||
| 传感器通常选用与工艺管道相同的口径,这样安装方便。但它的前提是管内流体的流速应在常用范围 | |||||||||||||||||||||||||||||||||||||||||
内。一般工业用电磁流量计的满量程流速范围为1~4m/s,可按不同的测量对象选择。 | |||||||||||||||||||||||||||||||||||||||||
| 例如:测洁净水时,经济流速是1.5-3m/s,测易结晶的溶液时,应适当地提高流速,3-4m/s为宜,起 | |||||||||||||||||||||||||||||||||||||||||
到自清扫,防止粘附沉积等作用,测矿浆等磨耗性流体时,应适当降低流速,1-2m/s为宜,以降低对内衬 | |||||||||||||||||||||||||||||||||||||||||
和电极的磨损。实际应用很少超过7m/s,超过10m/s则更为罕见。 | |||||||||||||||||||||||||||||||||||||||||
流量、流速与口径三者关系请见下图: | |||||||||||||||||||||||||||||||||||||||||
![]() ![]() ![]() ![]() | |||||||||||||||||||||||||||||||||||||||||
| 点小图看大图 | |||||||||||||||||||||||||||||||||||||||||
2、选择传感器的口径与连接的工艺管道口径不相同 | |||||||||||||||||||||||||||||||||||||||||
| 这种选择适用以下几种情况: | |||||||||||||||||||||||||||||||||||||||||
| A、管道内的流速偏低,工艺流量又较稳定,为满足仪表对流速范围的要求,在仪表部分局部提高流速 | |||||||||||||||||||||||||||||||||||||||||
| 选择传感器口径小于工艺管道口径,在传感器的前后加接异径管; | |||||||||||||||||||||||||||||||||||||||||
| B、从价格上考虑,对于大口径电磁流量计,口径越大,价格越高。对管道内流速偏低,工艺参数稳定 | |||||||||||||||||||||||||||||||||||||||||
| 的情况,可选用口径较小的传感器,这不仅可使仪表运行在较好的工作状态下,还可降低仪表费用。 | |||||||||||||||||||||||||||||||||||||||||
3、加装异径管应注意的问题 | |||||||||||||||||||||||||||||||||||||||||
| A、异径管锥角的选择 | |||||||||||||||||||||||||||||||||||||||||
| 为了在安装异径管后不过多影响流速的分布,不影响电磁流量计的精度,要求异径管的中心锥角 α不 | |||||||||||||||||||||||||||||||||||||||||
| 大于15°,越小越好。这样可把异径管视为直管段的一部分。 | |||||||||||||||||||||||||||||||||||||||||
| B、加装异径管会产生压力损失 ( 该压力损失不影响电磁流量计的测量 ) | |||||||||||||||||||||||||||||||||||||||||
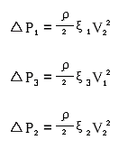
| 总的压力损失由三部分组成: | |||||||||||||||||||||||||||||||||||||||||
| 渐缩管中的压力损失 | ![]() | ||||||||||||||||||||||||||||||||||||||||
| 渐扩管中的压力损失 | |||||||||||||||||||||||||||||||||||||||||
传感器测量管中的压力损失![]() | |||||||||||||||||||||||||||||||||||||||||
总的压力损失为 | |||||||||||||||||||||||||||||||||||||||||
![]() ![]() | |||||||||||||||||||||||||||||||||||||||||
式中:ρ是介质密度,单位是kg/m3 | |||||||||||||||||||||||||||||||||||||||||
ξ1 ξ3 是分别为渐缩管的、渐扩管的与雷诺数有关的系数 | |||||||||||||||||||||||||||||||||||||||||
ξ2 = 0.02 是传感器测量管的系数 | |||||||||||||||||||||||||||||||||||||||||
V1、V2 分别是工艺管道,传感器测量管中的流速,单位为m/s | |||||||||||||||||||||||||||||||||||||||||
![]() | |||||||||||||||||||||||||||||||||||||||||
| 例如:α =8度 时ξ 的值 | |||||||||||||||||||||||||||||||||||||||||
| |||||||||||||||||||||||||||||||||||||||||
| 说明:安装异径管带来的压力损失,并不影响电磁流量计的测量。此处加以公式说明,是考虑到客户 | |||||||||||||||||||||||||||||||||||||||||
| 可能要采集下游管道的压力信号。 | |||||||||||||||||||||||||||||||||||||||||
智能电磁流量计特别设计了带背光宽温的中文液晶显示器,功能齐全实用、显示直观、操作使用方便,可以减少其他电磁流量计英文菜单所带来的不便。另外我们独家设计4-6多电极结构,进一步保证了测量精度并且任何时候无需接地环,减轻了仪表体积和安装维护的麻烦。
智能电磁流量计在满足现场显示的同时,还可以输出4~20mA电流信号供记录、调节和控制用,现已广泛地应用于化工、环保、冶金、医药、造纸、给排水等工业技术和管理部门。 采用电磁感应原理测量介质流体流速的电磁流量计。它在管道的两侧加一个磁场,被测介质流过管道就切割磁力线,在两个检测电极上产生感应电势,其大小正比于流体的运动速度。可以用于测量酸、碱、盐溶液、水煤浆、矿浆、砂浆灰泥、纸浆、树脂、橡胶乳、合成纤维浆和感光乳胶等各种悬浮物、气化汽和粘性物质的流量。电磁流量计密封性能好,还可用于自来水和地下水道系统。而且测量过程不与流体接触,适于制药、生物化学和食品工业。这种流量计还可检测血液流量。它的量程比约为100:1,精度一般为1%,由于这种传感器必须保持管道内电阻和测量电路阻抗之间有一定比例关系,因此在制造上有一定困难。当被测介质的电导率约为10欧姆·厘米时就开始产生困难,电导率更低时就产生原理性困难。当电导率为10欧姆·厘米时,就达到导电介质和电介质之间的“分界线”,热噪声电平随内阻的增大而显著增加。 电磁流量计是高精度、高可靠和使用寿命长的流量仪表,所以在设计产品结构、选材、制定工艺、生产装配和出厂测试等过程中每一个环节我们都非常细致讲究,还自行设计了一套中国最先进的,专用于电磁流量计的生产设备和流量实流标定装置,从而在软件和硬件上都能切实保证产品长期的高质量。电磁流量计特别设计了带背光宽温的中文液晶显示器,功能齐全实用、显示直观、操作使用方便,可以减少其他电磁流量计英文菜单所带来的不便。另外我们独家设计4-6多电极结构,进一步保证了测量精度并且任何时候无需接地环,减轻了仪表体积和安装维护的麻烦.
智能电磁流量计电极的选择:
| 电极材料 | 耐蚀及耐磨性能 |
| 不锈钢0Crl8Nil2M02Ti | 用于工业用水、生活用水、污水等具有弱腐蚀性的介质,适用于石油、化工、钢铁等工业部门及,市政、环保等领域。 |
| 哈氏合金B | 对沸点以下的一切浓度的盐酸有良好的耐蚀性,也耐硫酸、磷酸、氢氟酸、有机酸等非氯化性酸、碱,非氧化性盐液的腐蚀。 |
| 哈氏合金C | 能耐非氧化性酸,如硝酸、混酸、或铬酸与硫酸的混合介质的腐蚀,也耐氧化性盐类如:Fe,”、、Cu”下或含其他氧化剂的腐蚀,如高于常温的次氯酸盐溶液、海水的腐蚀 |
| 钛 | 能耐海水、各种氯化物和次氯酸盐、氧化性酸(包括发烟硫酸)、有机酸、碱的腐蚀。不耐较纯的还原性酸(如硫酸、盐酸)的腐蚀,但如酸中含有氧化剂(如硝酸、Fc++、Cu++)时,则腐蚀大为降低。 |
| 钽 | 具有优良的耐蚀性和玻璃很相似。除了氢氟酸、发烟硫酸、碱外,几乎能耐——切化学介质(包括沸点的盐酸、硝酸和l 50℃以下的硫酸)的腐蚀。在碱中刁;耐蚀。 |
| 铂/钛合金 | 几乎能耐——切化学介质,但不适用于王水和铵盐。 |
| 不锈钢涂覆碳化钨 | 用于无腐蚀性,强磨损性的介质。 |

1、选择传感器的口径与连接的工艺管道口径相同







