- 易迪拓培训,专注于微波、射频、天线设计工程师的培养
指针式万用电表电阻测量电路的误差分析
摘要:本文提出指针式万用电表 电阻测量 电路的第一误差(表头制作误差)和第二误差(电路设计误差)的概念。从制造和使用的角度出发,分析造成误差的原因和减小误差的方法。尤其是纠正生产厂家在 电阻测量 技术规范中的错误概念,提出作者的建议。
引言
指针式万用电表或模拟式万用电表,虽然有被数字式万用电表取代之势,但因其独特优点:“便于观察被测量连续变化,测量项目较多,操作简单,价格低廉,携带方便,是一种最普及、最常用的电测仪表”[1]。故目前在市场中仍占有相当大的份额,其用量亦相当普遍。
但是与数字式万用电表比较,指针式万用电表的准确度略显逊色,这不但与生产厂家的设计与制造技术水准有关,也与使用者的使用方法有关。
从制造者的角度看,由于技术水准所限,表头总会有基本误差,从而引出 电阻测量 的误差;从使用者的角度看,仪表指针指示范围选择不当,也会造成很大的误差。为了减小该项误差,作者提出仪表指针最恰当的指示范围。
1 误差分析
在文献[2]中,计算的误差是在电路设计时自然产生的,其前提是假定表头具有理想的线性度。该数值是随着电池电量的减小由γb逐渐变至γa ,其符号也是由正变负,取二者绝对值最大的一个,称作第二误差,记作γR2。该项误差可以通过减小表头支路的分流电阻值Rs将其缩小,以至达到可以忽略的程度。此不赘述。
还有一种误差称作第一误差γR1,这是由于表头的制作技术水准所限。因为动圈在不同偏角所处磁场强度的差异以及其轴承摩擦力等因素,使得指针指示值偏离了线性情况。这就产生了以电流表示的绝对误差△I。电阻测量简化电路如图1所示。
设电流表(表头支路与分流电阻Rs并联而成)满量程电流为Iz,当指示电流为I时,电流测量的相对误差为

表笔两端接入被测电阻Rx之后,流过电流表的电流


因为通常各相邻电阻档之间的倍率为十,故同一档的低电阻值为高电阻值的十分之一,则接入电阻0.1Rx时的指示电流
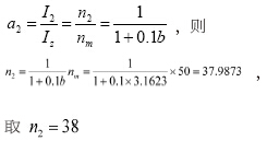
电阻各档工作区域是在I1与I2之间。值应满足指示相对值a1和a2两处的相对误差相等,即由式(6)得
由式(11)知,电阻下限指示的电流相对值
也就是说,欧姆档指针在12格与38格之间工作,可以有较好的测量精度。在两个端点处有最大且相等的相对误差绝对值。
由式(14)得知,当Rz=16.5Ω时,Rx=bRz=3.1623×16.5=52.18Ω,0.1Rx=5.218Ω;当Rz=10Ω时,Rx=3.6123×10=36.12Ω,0.1Rs=3.162Ω。
3 结束语
行文到此,我们明确如下概念。
从设计制作的角度来看,万用电表
电阻测量
的相对误差是由第一误差与第二误差叠加而成的。第二误差很容易通过减小表头支路并联电阻值的办法将其压缩至忽略不计。第一误差是表头本身的基本误差[1]造成的。基本误差越小,第一误差就越小。减小第一误差的手段是,通过改进制造工艺来达到。从使用者的角度来看,当需要测量精度高的场合,应选用精度等级高的万用电表。当在现场使用万用电表时,为了尽量减小测量误差,必须合理选用电阻档的量程,以使表头指针始终保持在12格至38格之间(满度为50格均匀刻度)。否则,精度再高的万用电表也无法保证测量结果的准确性。
文中,作者指出文献[1]和文献[3]所给出的电阻测量时,表头指针指示范围的不适当和错误。作者建议:在产品说明书电阻测量的技术规范中,取消以刻度尺长度的百分数的误差表示法,代之以电阻测量的相对误差。还应给出指针的指示范围(按前述,将12格及38格转换为相应的电阻值),或将指示范围内涂以浅绿色(或用两个黑点标识),指示范围外涂以浅红色(或干脆不设刻度)。
参考文献:
[1]沙占友,王彦明,睢丙东等.万用表速学巧用一本通[M].北京:中国电力出版社,2012:27-31
[2]赵宝义.万用电表[M].上海:上海人民出版社,1974:65-78
[3]刘燕军.怎样用万用表检测电子元件[M].北京:中国电力出版社,2012:33


