- 易迪拓培训,专注于微波、射频、天线设计工程师的培养
轨道衡在石 屏恐杏ψ⒁獾奈侍
一、前言
目前各炼厂油品交接主要采用三种方式计量:①人工检尺计量;②轨道衡称重计量;③流量计计量。一些炼厂利用静态轨道衡进行贸易计量也是一种好方法,静态衡确实具有单车计量波动小的特点。但针对每天平均进出罐车 650 节次,使用静态衡每节车平均称重用时 3 分钟,两台衡全天不间断工作也需 17 小时以上,外加调车作业时间,全天24 小时不停工作也不能满足生产需要,所以使用静态衡对较大称重量的企业不具可行性,多数炼油企业选择购置动态轨道衡也是基于过衡量的考虑。笔者介绍的某分公司铁路进厂原料和出厂产品计量取消人工检尺后,一直使用动态轨道衡计量交接,一列 50 节液体罐车从衡上通过只需 4- 5 分钟完成全部称重。使用轨道衡进行贸易计量是一件新事物,开始许多人对使用轨道衡交接计量难以接受甚至经历了较激烈的争论阶段,到现在各方逐渐认同,这是不断实践和提高认识的结果,大量确凿事实表明动态轨道衡应用和发展具有光明前景,用户现场验收油品的综合误差小是最有力的证明。正确认识单车误差与批次误差合理的波动,努力降低用户索赔和解决两种计量方式出现的特殊问题在轨道衡运用中应给予足够的重视。
二、两种计量方式引起的误差
(一) 目前交接计量两种方式并存
轨道衡称重是一种直接称量方法,铁路罐车从衡器上以一定速度通过,重量可直接称出,确实简便快捷。但现在多数用户只能采用人工检尺方式验收石油产品,因为一台轨道衡投资几十万元,加上放置称重计算机的房屋建设,投资在百万元左右,一般石油公司不具备建立轨道衡的能力,也因收油量不大没有必要建立。
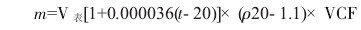
人工检尺是一种间接计量方式,通过测量罐车内油品的体积、温度、密度等参数,查有关标准进行换算,间接计算出重量。
铁路罐车油品人工检尺计量方式在空气中的质量计算公式
![]()
式中:m—油品在空气中的重量,kg、t;
V表—用检尺方法测出罐内液高,查铁路罐车容积表得出相应的体积,m3;
[1+0.000036(t- 20)]—罐内油品温度与标准温度相差超过±10℃时,油品体积的修正项;
ρ20—油品标准密度。在现场测出视密度和试验温度,然后查 GB1885- 1998 《石油计量表》 换算得来, kg/m3;
1.1—平均空气浮力修正值,kg/m3;
VCF—石油体积系数,无量纲。
目前石化行业中油品贸易仍采用“到岸交接”方式,用户人工计量验收油品,扣除正常的运输损耗和计量误差外,如果用户验收的某批次油量发生超耗,经炼厂派人到现场复测后证实确实超耗,炼厂就要进行赔付。这要求经国家有关部门检定的轨道衡 (使用中不能人为调整衡器参数) 计量出的油品数量必须和人工间接计量出的数量相符,否则轨道衡再先进也不能投入使用。
(二) 两种计量方式准确度比较
1、分公司轨道衡经国家铁道部轨道衡检定站
检定后,确定计量准确度等级是 0.2 级,具体允许的误差是:

2、轨道衡与铁路罐车人工检尺计量准确度比较

从上表中看出,轨道衡计量准确性优于人工检尺。 [p]
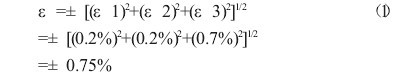
3、两种计量方式比较,确定合理的误差限
根据表 - 1、表 - 2 数据和轨道衡运行特点,把铁路罐车进厂时产生的计量误差称为 ε1,把装(卸) 油后的罐车出厂计量产生的误差称为 ε2,把人工检尺计量产生的误差称 ε3。这三项误差本文分析时认为不存在系统误差,均按随机误差对待。依照误差理论原理,互相独立的几个随机误差的总不确定度用方和根方式合成:
方法一:按各项基本相对误差方式合成:

例如:单节罐车装油平均重量为 50 吨,那么两种计量方式允许误差波动 mf=ε×ma=±0.75%*50吨 =±375(kg)
其中:mf—单车允许波动的重量;ε—按方法一合成的相对误差;ma—平均单车油重。
方法二:按各项允许重量误差合成 (单车均重按 50 吨计,人工检尺的不确定度 ε'3=±0.7%*50吨 =±350kg)

从 (1)、 (2) 式结果看,方法一得出结果375kg,方法二是 394kg,两者误差为 4.8%,相差不大。也就是说对单车而言人工检尺与轨道衡两者误差在±394kg内波动是正常的。目前国家规定,0.5 级轨道衡也能用于贸易交接,因此 0.5 级轨道衡与人工检尺两者计量允差要更大,通过计算得知允差可在±497kg 范围内波动 (以单车重量 50 吨为例)。
4、确定随机误差的性质和数据对比
从误差理论知:正态分布的随机误差具有:对称性、单峰性、抵偿性、有界性。只要测量列有足够的测量数据,其对称性和抵偿性就表现的越充分,会使有较多测量数据测量列的综合误差较小。
下表为我们某次用人工检尺计量方式与轨道衡数据抽查比对的结果 (表 - 3) 和数据分布 (表- 4)。
表 - 4 汇总数据曲线见图 - 1,符合正态分布规律。


从表 - 3 数据可以看出,两种方式计量的单车最大误差率是 0.5%。仅就单车而言,其误差已超出目前仍在执行的 《中国石油化工总公司成品油计量管理标准 Q/SH039- 019- 90》 3.3.2.3 条之规定:“运输损耗在扣除定额损耗后,超耗、溢余的互不找补幅度为:油轮、油驳为发货量的 0.3%,铁路罐车、汽车罐车、整装油品为发货量的 0.2%”。以柴油车为例,运距 500km 内运输损耗是发货量的0.12%,加上 0.2%的互不找补计量误差,两项合计为 0.32%,显然表 - 3 中最大单车误差 0.5%,已超出 Q/SH039- 019- 90 标准。仅从表面数据可以得出简单的结论:只要超出误差范围,轨道衡再先进也不能使用。 [p]
超出误差范围显然不是轨道衡单方面因素引起的,轨道衡的准确度高于人工检尺,超差是因为两种计量方式原理不同,误差之间彼此独立,不存在交集,误差间不能相互抵消或部分抵消所造成的。
但 Q/SH039- 019- 90 标准之 3.3.2.2 条同时规定:“运输损耗按批计算,同批同品种发运的油品溢耗可以相抵”。加上我们发往各石油公司以单车成为一个批次的很少,这就为轨道衡的使用提供了条件。
表 - 5 看出,以单车成为一个发货批次的只占总批次的 3%左右。几年来的实践证明,单车缺量提出索赔只有一次 (油品路途被盗,差量很大)。5节以上组成一个发货批次占总批次的的 78%。实践证明由 5 节车以上组成一个发货批次的随机误差的相互抵偿性 (按批统计) 可以满足交接计量要求。

5、小结
(1) 轨道衡和人工检尺两者计量原理不一致,误差彼此独立,两种计量方式下平均单车波动±400kg 左右是正常的;使用 0.5 级动态衡计量允差应更大。
(2) 消除轨道衡与人工计量存在的系统误差后,其随机误差符合正态分布规律。
(3) 随机误差具有对称性、单峰性、抵偿性、有界性,5 节车以上为一个发货批次其随机误差抵偿明显,批次综合误差较小。
三、重视理赔工作 减少用户索赔
如前所述大部分用户没有建设轨道衡,只能采取人工检尺计量方式验收油品重量。一旦用户验收发生超定额差量,依据 《中国石油化工总公司成品油计量管理标准 Q/SH039- 019- 90》 就会向炼厂提出索赔。接到用户投诉后,企业派人到现场处理。如果对方计量人员经培训持证上岗,计量操作规范,计量器具符合要求,现场测量后仍存在超定额差量,炼厂人员又无其他合理解释,就当场在双方认可的计量单上签字,明确表态将超定额亏量赔付对方。这种处理过程合情合理,一般炼厂都基本遵循这个原则办事。
收、发货双方均采用人工检尺方式交接油品,用户投诉缺量,现场复测后仍有超定额差量,说明炼厂计量人员在发货计量时存在失误,责任在炼厂。炼厂主管领导为加强管理,一般会根据赔付情况处罚己方计量员,提高其责任心,从而减少索赔案例的发生。但使用轨道衡计量情况就发生了变化,一旦用户超定额亏量,现场复测又没找出其他问题,只能说明轨道衡失准。每年索赔次数和赔付量不大还可以理解,认为事出有因,只是暂时没找到;索赔次数和赔付量多了,企业主管领导就不会坐视不管了。如果此时追究轨道衡计量员责任,轨道衡计量员会辨解道:“轨道衡是经过国家有关机构检定的,称重准确与否肉眼又无法判断,追究我们责任不合理”。最后领导只好就把“板子”打到轨道衡设备身上,而无法追究个人责任,久而久之领导必定决策放弃使用轨道衡进行贸易计量,而恢复人工检尺计量交接。
因此,真正把轨道衡用于贸易交接计量,解决好用户索赔问题也是不可轻视的环节,否则再准再好的衡也不能用。这要求轨道衡管理人员要把工作做细做好,摸清轨道衡的运行规律,掌握衡器准确计量的方法,保证出厂计量的数据准确可靠。一旦发生索赔投诉,现场理赔人员要坚持原则,认真复测,仍有超定额差量要查明原因,以便改进和预防。其中使用轨道衡暴露出不少人工检尺计量存在的问题和规程不足之处,这些需要我们认真分析和查找原因,定量分析其对综合误差影响大小。因此理赔工作不仅要有强烈的事业心,还要从技术角度解释清楚问题发生的原因。上述作法对轨道衡成功运用到贸易计量是至关重要的。
上一篇:多相流量计在塔里木油田的应用
下一篇:气动差动器的应用


