- 易迪拓培训,专注于微波、射频、天线设计工程师的培养
利用V形块测棱圆度
录入:edatop.com 点击:
在正常的检定工作中,经常碰到企业送来加工件需要出具棱圆度的测量数据。我们利用万能工具显微镜的V形块(它的槽形角α=120°)定位,用光学灵敏杠杆测量外圆柱面的棱圆度偏差。
一、测量原理
棱圆度是指零件的实际轮廓和理想圆的最大径向距离差值,Δ=D理-D实。


而用卡尺、平台是测量不出棱圆度的。只能用V形法测量棱圆度。
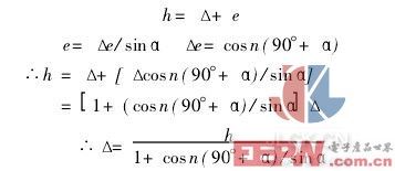
棱圆度Δ在测量过程中(图2)与V形块的槽形角2α与棱圆度本身的棱数n和两个极端位置的读数差h有关系:
![]()
此公式是根据棱圆体零件在V形块中进行测量,其两个极端位置的读数差值包括两项:棱圆度Δ和偏心e,其详细推导解析式为:

二、测量方法(见图3、4)
(1)用标准心轴将V形块上下前后和测量轴线调好中心。V形块间距按5/9l调好
(2)用千分表在纵向定位控制被测零件不要纵向移动,保证测量在一个截面上。
(3)在零件上端安装好光学灵敏杠杆,记住始终点位置开始测量。将最大读数值和最小读数值记录下,取差值即为h,h=h最大-h最小。
(4)确定系数(N为转折点数):n=N/2
(5)将h、n代入公式,即得棱圆度Δ,当2α=120°时:
![]()

三、测量误差

由此可得出:此种方法,在无光学分度头的情况下来测量棱圆度既简便且精度较高,又可满足工件的测量,是一种切实可行的方法。
上一篇:超声波探头回波频率测试方法
下一篇:双频激光测量系统及其在lC加工设备中的应用


