- 易迪拓培训,专注于微波、射频、天线设计工程师的培养
非插入式器件的测量
录入:edatop.com 点击:
由于微波工程上的需要,大多微波射频部件的端口都是阴头,而电缆连接器件的端口却是一阴一阳,这些微波射频部件不能直接连接在矢量网络分析仪上进行直通测试,被称为非插入式器件。实际测量中,存在大量的非插入器件,他们端口连接类型相反,阴阳极性相同,校准时不能直接进行直通测量。为了让非插入式器件连接上矢量网络分析仪,必须加双阴或双阳转接头,这样矢量网络分析仪的测试值并不是被测件实际值,而是被测件加上转接器的值。
一般测量中都忽略了转接器的影响,认为所测结果就是被测件实际值,无形中将转接器的损耗和时延加在被测件上,从而无法得到被测件的准确值。或者测试中用不同的校准方法,例如,特性未确定直通法、特性确定直通法、等适配器交换法、适配器移除等,减少转接器对被测件的影响,但这些方法无论优劣都无法直接去除转接器对非插人器件的影响。本文通过单端口测试未知特性的转接器(如双阳和双阴接头),根据算法和假设条件,使级联后理论计算值接近实际测量值,进而确定转接器的值,最终得到被测件的准确值,从而去除转接器在测试中对被测件的影响。
1 原理
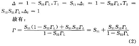
信号流图(如图1所示)结合散射参数是分析微波网络和微波测量系统的简便有效方法。流图公式亦称梅森不接触环法则(Mason’s non-touching loop rule),简称梅森公式。根据梅森公式可以直接求出信号流图中任意两点之间的传输值。

图1 信号流
梅森公式:

由梅森公式可知 :

2 验证过程
适配器有很多种,为了研究方便和具有普遍性,本试验用双阴和双阳做验证,其他类型的适配器原理和过程也是相同。
实验中要用到矢量网络分析仪1台(100 MHz~40 GHz)、电缆2根、2.4 mm的校准件1套(AV31123,校准件和电缆精度要高,误差要小),可编程步进衰减器1个。设置线性频率范围1~21 GHz,每100 MHz取一个点,扫描点数201,中频带宽100 Hz。在矢量网络分析仪两端口接电缆,对电缆进行全双端口SOLT校准后,电缆端口为校准端面,去处12项系统误差。准备工作完成后,使用不同的方法进行测试。方法1中,双阴和双阳值是接50Ω匹配负载计算得到;方法2中,双阴和双阳值是通过接可编程步进衰减器计算得出。下面为2种方法的详细过程。
2.1 方法1
端口1接双阳接头后,分别连接开路器、短路器、50 Ω匹配负载(如图2所示)测出反射系数分别为ΓAO、ΓAS、 ΓAL。端口2接双阴接头后,分别连接开路器、短路器、50Ω匹配负载(如图3所示),测出反射系数分别为ΓBO、ΓBS、Γ BL。然后端口1直接加开路器、短路器、50 Ω匹配负载,测出反射系数分别为Γ1O、Γ1S、Γ1L(如图4所示)。 端口2直接加开路器、短路器,测得反射系数分别为Γ2O、Γ2S、 Γ2L(如图5所示)。

图3 双阴接开路器、短路器、匹配负载

图4 端口5接开路器、短路器、匹配负载

图5 端口2接开 路器、短路器、匹配负载
由式(2)可以得到双阳、双阴的方程组 [SA]、[SB]分别为:

式中:m11、m12、m21 、m22为待测双阳接头参数值,n11、n12、 n21、n22为双阴接头的S参数值。假设网络互易有,m12 = m21 n12 = n21,则方程组可解出双阳S参数矩阵SA和双阴S参数矩阵SB。分别为:

2.2 方法2
用2O dB衰减器作为负载替代方法1中50 Ω匹配负载,用矢量网络分析仪测出衰减器连接双阴、双阳的反射系数ΓAL、ΓBL,测得2O dB衰减器的反射系数分别为Γ 1L ,Γ2L。其他步骤类似于方法1。计算出S并和方法1中的对比。
下一页:验证双阳双阴接头的计算值
3 验证
为了上述方法的可行性,用2种方法验证双阳双阴接头的计算值。
3.1 级联双阳双阴
首先计算出双阴双阳级联后的S参数 。级联二端口网络的S参数不能直接计算出,需将S参数转换为T参数,求出级联值[TAB] - [TA][TB],再将级 联后的[TAB]转换为[SAB]。将双阳双阴级联(如图6所示)。

图6 双阳双阴级联
上述方法得到的S参数为参考值,将这些值和由梅森公式计算得到的S参数对比。将所有的测试数据用MATLAB软件处理,仿真得到最终级联后的S参数曲线图和矢量网络分析仪中测试的S参数曲线对比。
由图7可以看到S12、 S21,的差别很小,但S11、S22之间有些差别。方法1中接50 Ω匹配负载和方法2中接20 dB衰减器的两条曲线基本一致。双阳双阴级联后不管接那种负载,其级联值都为定值。存在差别的原因是20 dB衰减器不是标准器件,双阳双阴级联时有反射存在。

11、S22">

11、S22">
图7 双阳双阴接20 dB衰减器计算的和矢量网络分析仪测试的S11、S22
S11理论计 算值的曲线图和矢量网络分析仪的测试曲线非常接近。在低频段,S22理论计算值的曲线图和矢量网络分析仪的测试曲线一致。在高频时理论计算值的曲线图要好一些,是因为反射系数在-40 dB以下,并且隔离度较高。事实上,直通测试时双阳双阴的连接端口受到影响。因此理论计算值比测量值更精确。
试验中对标准件,转接器和衰减器有多次的连接,每次连接都会在不同程度引人人为误差。标准件的值是通过校准矢网后测试得到,没有采用更高一级的定标系统测试。传输参数的测量对得到s参数是不可缺少的,但实验中只是通过测量反射系数间接地得到传输参数 种种因素造成结果上必然存在一定的误差。对这些误差进行一定的修正就可以得出更好的结果。
3.2 可编程步进衰减器
下面的验证使用可编程步进衰减器,被测件为衰减器衰减值分别为0、10 dB、20 dB、30 dB、40 dB、50 dB、60 dB。衰减器的S参数由实验数据计算得到(如图8~10所示)。

21理论值">
图8 衰减器的S21理论值

11理论值">
图9 衰减器 的S11理论值

22理论值">
图10 衰减器的S22理论值
由上面的计算结果可以看到:没接双阳双阴接头计算得到的可编程步进衰减器的S参数得到预期的结果。衰减器的计算值经过验证与安捷伦给定的传输参数与反射参数相符合。
4 结束语
本文是验证性实验,通过计算双阴和双阳转接器去除它们在测试中对非插入器件的影响。将普遍适配器的问题特殊化和简单化,但是这对其他适配器的测量,和进一步对端口延伸和去嵌入技术的研究有了理论上的突破口。
一般测量中都忽略了转接器的影响,认为所测结果就是被测件实际值,无形中将转接器的损耗和时延加在被测件上,从而无法得到被测件的准确值。或者测试中用不同的校准方法,例如,特性未确定直通法、特性确定直通法、等适配器交换法、适配器移除等,减少转接器对被测件的影响,但这些方法无论优劣都无法直接去除转接器对非插人器件的影响。本文通过单端口测试未知特性的转接器(如双阳和双阴接头),根据算法和假设条件,使级联后理论计算值接近实际测量值,进而确定转接器的值,最终得到被测件的准确值,从而去除转接器在测试中对被测件的影响。
1 原理
信号流图(如图1所示)结合散射参数是分析微波网络和微波测量系统的简便有效方法。流图公式亦称梅森不接触环法则(Mason’s non-touching loop rule),简称梅森公式。根据梅森公式可以直接求出信号流图中任意两点之间的传输值。

图1 信号流
梅森公式:

由梅森公式可知 :

2 验证过程
适配器有很多种,为了研究方便和具有普遍性,本试验用双阴和双阳做验证,其他类型的适配器原理和过程也是相同。
实验中要用到矢量网络分析仪1台(100 MHz~40 GHz)、电缆2根、2.4 mm的校准件1套(AV31123,校准件和电缆精度要高,误差要小),可编程步进衰减器1个。设置线性频率范围1~21 GHz,每100 MHz取一个点,扫描点数201,中频带宽100 Hz。在矢量网络分析仪两端口接电缆,对电缆进行全双端口SOLT校准后,电缆端口为校准端面,去处12项系统误差。准备工作完成后,使用不同的方法进行测试。方法1中,双阴和双阳值是接50Ω匹配负载计算得到;方法2中,双阴和双阳值是通过接可编程步进衰减器计算得出。下面为2种方法的详细过程。
2.1 方法1
端口1接双阳接头后,分别连接开路器、短路器、50 Ω匹配负载(如图2所示)测出反射系数分别为ΓAO、ΓAS、 ΓAL。端口2接双阴接头后,分别连接开路器、短路器、50Ω匹配负载(如图3所示),测出反射系数分别为ΓBO、ΓBS、Γ BL。然后端口1直接加开路器、短路器、50 Ω匹配负载,测出反射系数分别为Γ1O、Γ1S、Γ1L(如图4所示)。 端口2直接加开路器、短路器,测得反射系数分别为Γ2O、Γ2S、 Γ2L(如图5所示)。

图3 双阴接开路器、短路器、匹配负载

图4 端口5接开路器、短路器、匹配负载

图5 端口2接开 路器、短路器、匹配负载
由式(2)可以得到双阳、双阴的方程组 [SA]、[SB]分别为:

式中:m11、m12、m21 、m22为待测双阳接头参数值,n11、n12、 n21、n22为双阴接头的S参数值。假设网络互易有,m12 = m21 n12 = n21,则方程组可解出双阳S参数矩阵SA和双阴S参数矩阵SB。分别为:

2.2 方法2
用2O dB衰减器作为负载替代方法1中50 Ω匹配负载,用矢量网络分析仪测出衰减器连接双阴、双阳的反射系数ΓAL、ΓBL,测得2O dB衰减器的反射系数分别为Γ 1L ,Γ2L。其他步骤类似于方法1。计算出S并和方法1中的对比。
下一页:验证双阳双阴接头的计算值
3 验证
为了上述方法的可行性,用2种方法验证双阳双阴接头的计算值。
3.1 级联双阳双阴
首先计算出双阴双阳级联后的S参数 。级联二端口网络的S参数不能直接计算出,需将S参数转换为T参数,求出级联值[TAB] - [TA][TB],再将级 联后的[TAB]转换为[SAB]。将双阳双阴级联(如图6所示)。

图6 双阳双阴级联
上述方法得到的S参数为参考值,将这些值和由梅森公式计算得到的S参数对比。将所有的测试数据用MATLAB软件处理,仿真得到最终级联后的S参数曲线图和矢量网络分析仪中测试的S参数曲线对比。
由图7可以看到S12、 S21,的差别很小,但S11、S22之间有些差别。方法1中接50 Ω匹配负载和方法2中接20 dB衰减器的两条曲线基本一致。双阳双阴级联后不管接那种负载,其级联值都为定值。存在差别的原因是20 dB衰减器不是标准器件,双阳双阴级联时有反射存在。

11、S22">

11、S22">
图7 双阳双阴接20 dB衰减器计算的和矢量网络分析仪测试的S11、S22
S11理论计 算值的曲线图和矢量网络分析仪的测试曲线非常接近。在低频段,S22理论计算值的曲线图和矢量网络分析仪的测试曲线一致。在高频时理论计算值的曲线图要好一些,是因为反射系数在-40 dB以下,并且隔离度较高。事实上,直通测试时双阳双阴的连接端口受到影响。因此理论计算值比测量值更精确。
试验中对标准件,转接器和衰减器有多次的连接,每次连接都会在不同程度引人人为误差。标准件的值是通过校准矢网后测试得到,没有采用更高一级的定标系统测试。传输参数的测量对得到s参数是不可缺少的,但实验中只是通过测量反射系数间接地得到传输参数 种种因素造成结果上必然存在一定的误差。对这些误差进行一定的修正就可以得出更好的结果。
3.2 可编程步进衰减器
下面的验证使用可编程步进衰减器,被测件为衰减器衰减值分别为0、10 dB、20 dB、30 dB、40 dB、50 dB、60 dB。衰减器的S参数由实验数据计算得到(如图8~10所示)。

21理论值">
图8 衰减器的S21理论值

11理论值">
图9 衰减器 的S11理论值

22理论值">
图10 衰减器的S22理论值
由上面的计算结果可以看到:没接双阳双阴接头计算得到的可编程步进衰减器的S参数得到预期的结果。衰减器的计算值经过验证与安捷伦给定的传输参数与反射参数相符合。
4 结束语
本文是验证性实验,通过计算双阴和双阳转接器去除它们在测试中对非插入器件的影响。将普遍适配器的问题特殊化和简单化,但是这对其他适配器的测量,和进一步对端口延伸和去嵌入技术的研究有了理论上的突破口。
上一篇:OTDR光纤测试法的参数设置-深圳夏光
下一篇:夏光OTDR使用方法详解


