- 易迪拓培训,专注于微波、射频、天线设计工程师的培养
为什么参数差的基准反而可能更好?
录入:edatop.com 点击:
几乎所有的电子测量仪器都有一颗“心脏”——基准电压源。它对整个仪器的模拟系统性能和精度有着重大影响,在对它选型时我们是既兴奋又焦虑,我们可不能一味的根据厂商提供的器件参数文件进行选型,这往往有些“坑”……
在选取基准电压源时,我们是要参考厂商提供的器件参数文件的,里面通常包括器件的各项指标,电性参数,物理参数,材料说明,工作环境和使用建议等,一般以说明文字,特性曲线,图表以及数据表等形式体现,而所谓的“坑”,多存在于特性曲线,工作环境和特别注释中。
这里就拿基准电压芯片进行说明,基准电压选型无外乎在于“准、稳”两个字,“准”可以粗略理解为初始绝对误差,但由于现代仪器通常都配有完善的校准体系,所以绝对精度的要求可以相对放宽,那基本影响到“准”的多半是噪声,噪声挖的坑往往比较少,只要多加注意1/f噪声和宽带噪声水平再结合对应的应用带宽,符合系统要求基本就没有太大问题。
善于挖坑的往往是“稳”,稳顾名思义就是稳定,随供电稳定,随负载稳定,随时间稳定,随温度稳定,任何一个稍有疏忽,则前功尽弃。
随温度稳定,即温漂性能,这往往是优秀基准首先强调的参数,但强调归强调,他们说的,往往是典型值,什么是典型值 俗话说就是,“一般情况下是这样的”,其实典型值并不来源于直接测量,而是基于大量测量的具有代表性的统计值,但不管怎么说,终究会有“二般”的。不地道的厂商往往只给出典型值,那最大值是多少呢 一般情况下,芯片厂商往往会同时提供典型值、最大值和最小值,这样权衡之后基本就可以确定,芯片是否可用。还有一种“特别地道”的厂商,只提供最大值,说特别地道是开玩笑,因为这种芯片可能存在参数分部分散的问题,有时也是隐患。其中重要的并不完全是典型值和最大值这两个数值,而是,而是,而是……关系曲线。下面是三种基准芯片的输出与温度曲线,发现吗 形态各异。那哪种才是好的 不一定,不同的应用可能对应不同的温度范围,在对应温度范围内最稳定的就是最好的,但这个最稳定也只是参考意义上的最稳定,毕竟厂商提供的曲线也是“典型曲线”。
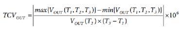
其中A器件是某厂商2.5V基准的曲线,其保证的最大温漂为3ppm/℃, B为另一厂商2.048V基准的曲线,保证的最大温漂为2ppm/℃,而C则是业内顶尖的基准之一,典型温漂为0.5ppm/℃,最大也才到1ppm/℃。但需要特别注意的是各个厂商使用的温漂计算一般都是方框法(box method),即对应温度范围内最大输出差比上该温度差再除以基准点(一般为25℃)的输出,即按照如下公式进行计算,
其中T1为最低温度,T2为参考点温度,T3为最高温度。于是会出现什么情况 由于温漂曲线一般是非线性的,而且可能“极其非线性”,于是当把范围缩小到某一温度子区间评估时,温漂可能远大于或远小于数值标注的最大值,那请把把目光聚集在20-50℃区间,发现数值指标差的A反而在20-50℃区间内有更平滑的表现,相对较好的B器件却在对应区间一路往下飙,C器件则表现更为优秀(毕竟是业内顶尖),所以最终选择哪款器件可能是多方面因素综合考虑的结果,数值指标只能作为一个参考,要看曲线,而且是要看对应区间的曲线,其实光看还是不够的,因为数据手册所给出的曲线通常也是“典型”曲线,那还要干什么 ……实测,在有条件的基础上尽量评估尽可能多的器件。
以上仅是以温漂为例说明器件某一参数的选择评估思路,一颗芯片不可能仅因一项指标而被选中,要评估各个参数才能做出决定,而评估之后可能发现,“参数差的芯片反而更好”,其实也应了那句话,“没有最好的芯片,只有最合适的”。
PA8000系列功率分析仪由于需要在较高的带宽下达到极高的精度和稳定性,对基准的选择当然是即严格又慎重,我们评估每一种待选型号的芯片在最接近真实应用环境下的实际表现,综合考虑选择最适合的一款,而不是但看指标决定。

在选取基准电压源时,我们是要参考厂商提供的器件参数文件的,里面通常包括器件的各项指标,电性参数,物理参数,材料说明,工作环境和使用建议等,一般以说明文字,特性曲线,图表以及数据表等形式体现,而所谓的“坑”,多存在于特性曲线,工作环境和特别注释中。
这里就拿基准电压芯片进行说明,基准电压选型无外乎在于“准、稳”两个字,“准”可以粗略理解为初始绝对误差,但由于现代仪器通常都配有完善的校准体系,所以绝对精度的要求可以相对放宽,那基本影响到“准”的多半是噪声,噪声挖的坑往往比较少,只要多加注意1/f噪声和宽带噪声水平再结合对应的应用带宽,符合系统要求基本就没有太大问题。
善于挖坑的往往是“稳”,稳顾名思义就是稳定,随供电稳定,随负载稳定,随时间稳定,随温度稳定,任何一个稍有疏忽,则前功尽弃。
随温度稳定,即温漂性能,这往往是优秀基准首先强调的参数,但强调归强调,他们说的,往往是典型值,什么是典型值 俗话说就是,“一般情况下是这样的”,其实典型值并不来源于直接测量,而是基于大量测量的具有代表性的统计值,但不管怎么说,终究会有“二般”的。不地道的厂商往往只给出典型值,那最大值是多少呢 一般情况下,芯片厂商往往会同时提供典型值、最大值和最小值,这样权衡之后基本就可以确定,芯片是否可用。还有一种“特别地道”的厂商,只提供最大值,说特别地道是开玩笑,因为这种芯片可能存在参数分部分散的问题,有时也是隐患。其中重要的并不完全是典型值和最大值这两个数值,而是,而是,而是……关系曲线。下面是三种基准芯片的输出与温度曲线,发现吗 形态各异。那哪种才是好的 不一定,不同的应用可能对应不同的温度范围,在对应温度范围内最稳定的就是最好的,但这个最稳定也只是参考意义上的最稳定,毕竟厂商提供的曲线也是“典型曲线”。
其中A器件是某厂商2.5V基准的曲线,其保证的最大温漂为3ppm/℃, B为另一厂商2.048V基准的曲线,保证的最大温漂为2ppm/℃,而C则是业内顶尖的基准之一,典型温漂为0.5ppm/℃,最大也才到1ppm/℃。但需要特别注意的是各个厂商使用的温漂计算一般都是方框法(box method),即对应温度范围内最大输出差比上该温度差再除以基准点(一般为25℃)的输出,即按照如下公式进行计算,
其中T1为最低温度,T2为参考点温度,T3为最高温度。于是会出现什么情况 由于温漂曲线一般是非线性的,而且可能“极其非线性”,于是当把范围缩小到某一温度子区间评估时,温漂可能远大于或远小于数值标注的最大值,那请把把目光聚集在20-50℃区间,发现数值指标差的A反而在20-50℃区间内有更平滑的表现,相对较好的B器件却在对应区间一路往下飙,C器件则表现更为优秀(毕竟是业内顶尖),所以最终选择哪款器件可能是多方面因素综合考虑的结果,数值指标只能作为一个参考,要看曲线,而且是要看对应区间的曲线,其实光看还是不够的,因为数据手册所给出的曲线通常也是“典型”曲线,那还要干什么 ……实测,在有条件的基础上尽量评估尽可能多的器件。
以上仅是以温漂为例说明器件某一参数的选择评估思路,一颗芯片不可能仅因一项指标而被选中,要评估各个参数才能做出决定,而评估之后可能发现,“参数差的芯片反而更好”,其实也应了那句话,“没有最好的芯片,只有最合适的”。
PA8000系列功率分析仪由于需要在较高的带宽下达到极高的精度和稳定性,对基准的选择当然是即严格又慎重,我们评估每一种待选型号的芯片在最接近真实应用环境下的实际表现,综合考虑选择最适合的一款,而不是但看指标决定。



