- 易迪拓培训,专注于微波、射频、天线设计工程师的培养
扩频通信中扩频水印的嵌入方法
录入:edatop.com 点击:
摘 要:本文提出了一种基于多码扩频(MC-DSSS)技术的数字水印嵌入方法,即利用扩频码的正交性将扩频水印嵌入到扩频通信信号中。理论分析和仿真结果表明,此种方法嵌入的水印具有很多优点,如透明性、鲁棒性和可靠性等,并具有良好的抗干扰性能。
关键词:扩频通信;数字水印;语音信号;扩频水印;嵌入方法

关键词:扩频通信;数字水印;语音信号;扩频水印;嵌入方法
A Method of Inserting Spread Spectrum Watermarking into Spread Spectrum Signal
HE Shi-biao1,2,YANG Shi-zhong1
(1.Institute of CommuNIcation & Tracking Telemetry Command,Chongqing University,Chongqing400044,China,
2.Chongqing Communication Institute,Chongqing 400035,China)
2.Chongqing Communication Institute,Chongqing 400035,China)
Abstract:A new method based on Multi-CODe Direct Sequence Spread Spectrum(MC-DSSS)technology is proposed to insert a spread spectrum watermarking into a spread spectrum communication signal。In this method,the spread spectrum signal plus spread spectrum watermarking are transmitted into channel,but their spread codes are orthogonal。The theoretical analysis and simulation indicate that there are many advantages in this watermarking,such as transparency,reliability,robustness and anti-jamming.
Keywords:Spread spectrum communication;Digital watermarking;Voice signal;Spread spectrum watermarking;Inserting method
Keywords:Spread spectrum communication;Digital watermarking;Voice signal;Spread spectrum watermarking;Inserting method
一、引言
数字水印是20世纪90年代发展起来的一项新技术,它通过在原始的数字信息中,隐含特定信息(如身份标志等),以确认数字产品的版权,或验证信息是否属伪造和有害[1]。数字水印一般是加在图像、音频、视频或文本中,依据使用的目的不同,水印可分为可见性水印和不可见性水印。随着应用需求的发展,在特定的应用场合(如防止通信信号被伪造或识别攻击性信号等),需要在通信信号中加入水印信息,确定所接收的信号是否属于有效信号,但又不损害原始信号的正常接收和使用。在通信信号中嵌入水印信息的最常见的图像通信和语音通信。本文主要研究的是语音中通信水印信息的嵌入方法。
一般来说,话音通信的水印应该有如下特性[2]:①不可察觉性,即加入水印后的语音与原语音信号相比,对人耳来说应该听不出来,其处理算法通常是在语音的冗余位置嵌入水印信息,或利用人耳的掩蔽特性。在扩频通信中,可利用码字的正交性来达到嵌入水印信息的目的;②鲁棒性,即未经授权的第三方不能通过一些处理方法,去除或修改嵌入的水印信息,或者去除水印信息后,原语音信号的质量有明显下降;对于常用的处理算法,如传输、过滤、采样等,嵌入的水印信息损坏很小,并在一定的正确概率下可以被检测到;③可靠性,水印嵌入和检测方法对未授权的第三方而言,应该是保密且不易破解的,而合法的使用者,可通过水印证实其合法性。
语音通信的水印嵌入主要有时域和变换域嵌入两种方式。近年来,随着扩频技术的发展,利用扩频方式将水印嵌入到原始信息中,显示出很大的优越性。同时,随着抗干扰性、保密性等的要求,扩频技术已在通信中得到广泛应用[3],在扩频通信的基础上,加入扩频水印信息,不仅容易实现,而且具有非常优越的性能。
本文提出一种基于扩频通信的水印嵌入模型,并分析其相关的性能。
数字水印是20世纪90年代发展起来的一项新技术,它通过在原始的数字信息中,隐含特定信息(如身份标志等),以确认数字产品的版权,或验证信息是否属伪造和有害[1]。数字水印一般是加在图像、音频、视频或文本中,依据使用的目的不同,水印可分为可见性水印和不可见性水印。随着应用需求的发展,在特定的应用场合(如防止通信信号被伪造或识别攻击性信号等),需要在通信信号中加入水印信息,确定所接收的信号是否属于有效信号,但又不损害原始信号的正常接收和使用。在通信信号中嵌入水印信息的最常见的图像通信和语音通信。本文主要研究的是语音中通信水印信息的嵌入方法。
一般来说,话音通信的水印应该有如下特性[2]:①不可察觉性,即加入水印后的语音与原语音信号相比,对人耳来说应该听不出来,其处理算法通常是在语音的冗余位置嵌入水印信息,或利用人耳的掩蔽特性。在扩频通信中,可利用码字的正交性来达到嵌入水印信息的目的;②鲁棒性,即未经授权的第三方不能通过一些处理方法,去除或修改嵌入的水印信息,或者去除水印信息后,原语音信号的质量有明显下降;对于常用的处理算法,如传输、过滤、采样等,嵌入的水印信息损坏很小,并在一定的正确概率下可以被检测到;③可靠性,水印嵌入和检测方法对未授权的第三方而言,应该是保密且不易破解的,而合法的使用者,可通过水印证实其合法性。
语音通信的水印嵌入主要有时域和变换域嵌入两种方式。近年来,随着扩频技术的发展,利用扩频方式将水印嵌入到原始信息中,显示出很大的优越性。同时,随着抗干扰性、保密性等的要求,扩频技术已在通信中得到广泛应用[3],在扩频通信的基础上,加入扩频水印信息,不仅容易实现,而且具有非常优越的性能。
本文提出一种基于扩频通信的水印嵌入模型,并分析其相关的性能。
二、水印的嵌入模型
扩频通信是将原始信息通过与扩频码(伪随机码)进行扩频运算,使信号被扩频到很宽的频带上,接收端通过相关运算,将原始信息还原到原来的带宽,同时将干扰信号扩展到很宽的频带上,达到减少干扰信号的功率谱密度,从而可通过滤波的方法,提高信噪比的目的。在扩频信号中,通过采用正交扩频码字,很容易将水印信号嵌入到原始信号中,并且具有良好的特性。在扩频信号中嵌入水印信息的框图如图1 所示,接收端处理如图2所示。
在发端的情况,水印信息和语音信息分别被不同的伪码扩频(正交扩频码,且码长一样),扩频后的信号通过相加器,叠加在一起,再经过调制,送入信道,类似于多码扩频通信[4]。在接收端,接收到的信号经过前端滤波后,分别以信息扩频码和水印扩频码进行解扩、解调输出。由于信息与水印扩频码的正交性,水印信息直接叠加于原始信号上,并占用相同的带宽,相互之间不影响,达到了透明性要求;同时除非通过解扩频来提取水印,再进行抵消水印信号,而传统的任何方法均不能除去水印信号,从而达到了可靠性的要求;由于扩频系统的本身特性,传输过程中的干扰,接收过程中的各种算法均对水印信号信号的影响较小,故而达到鲁棒性的要求。
扩频通信是将原始信息通过与扩频码(伪随机码)进行扩频运算,使信号被扩频到很宽的频带上,接收端通过相关运算,将原始信息还原到原来的带宽,同时将干扰信号扩展到很宽的频带上,达到减少干扰信号的功率谱密度,从而可通过滤波的方法,提高信噪比的目的。在扩频信号中,通过采用正交扩频码字,很容易将水印信号嵌入到原始信号中,并且具有良好的特性。在扩频信号中嵌入水印信息的框图如图1 所示,接收端处理如图2所示。
在发端的情况,水印信息和语音信息分别被不同的伪码扩频(正交扩频码,且码长一样),扩频后的信号通过相加器,叠加在一起,再经过调制,送入信道,类似于多码扩频通信[4]。在接收端,接收到的信号经过前端滤波后,分别以信息扩频码和水印扩频码进行解扩、解调输出。由于信息与水印扩频码的正交性,水印信息直接叠加于原始信号上,并占用相同的带宽,相互之间不影响,达到了透明性要求;同时除非通过解扩频来提取水印,再进行抵消水印信号,而传统的任何方法均不能除去水印信号,从而达到了可靠性的要求;由于扩频系统的本身特性,传输过程中的干扰,接收过程中的各种算法均对水印信号信号的影响较小,故而达到鲁棒性的要求。

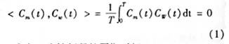
在图中数字语音信息记为m(t),信息扩频码记为Cm(t),水印信息记为w(t),水印扩频码记为Cw(t),其中Cm(t)和Cw(t)正交,即:

式中T为扩频码的周期时间。
发送到信道中的信号为
其中,m(t)、w(t)、Cm(t),Cw(t)都取值{-1,+1},则其组合m(t)Cm(t)+w(t)Cw(t)可能的取值为{-2,0,+2},采用相位调制时,则相位的变化为{0,π/2,π}。
信号在信道中传输时,要叠加上噪声和干扰,记为n(t),则到达接收端的信号r(t)可表示为
其中,a为幅度衰减,φ载波相位。为分析简洁,在式(3)中,我们没考虑传播中的多径效应、衰落和多谱勒效应的影响。

式中T为扩频码的周期时间。
发送到信道中的信号为
其中,m(t)、w(t)、Cm(t),Cw(t)都取值{-1,+1},则其组合m(t)Cm(t)+w(t)Cw(t)可能的取值为{-2,0,+2},采用相位调制时,则相位的变化为{0,π/2,π}。
信号在信道中传输时,要叠加上噪声和干扰,记为n(t),则到达接收端的信号r(t)可表示为
其中,a为幅度衰减,φ载波相位。为分析简洁,在式(3)中,我们没考虑传播中的多径效应、衰落和多谱勒效应的影响。
三、性能分析
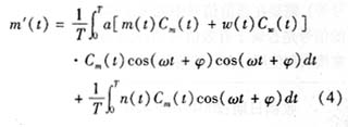
在假设接收端的载波和扩频本地码均能精确同步的情况下,分别对原始信息和水印信息进行解扩和解调,则有:
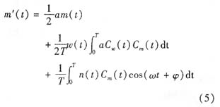
我们考虑解扩频解调后经过低通滤波,滤除二次谐波及高频分量,则有:
式(5)中,第一项为有用信号的输出,第二项为水印信号对有用信号的干扰,第三项为噪声的输出。由于信息扩频码字与水印扩频码字的正交性,由式(1)可知,式(5)的第二项为0,因此,嵌入的水印对原始信息没有任何影响,保证了透明性要求。在实际的应用中,由于码字不正交,水印信息对原始信息的接收有一定影响,但只要信息扩频码与水印扩频码之间的互相关系数足够小,则其影响可忽略。
同理,水印信号的解扩解调输出为
式(6)的第二项为0,原始信息对水印信息亦不够成影响。
由上述的基本原理可知,水印信号和信息信号无论在时域、频域还是空间域都混叠在一起,不能通过滤波及其它数字信号的处理方法将原始信号和水印信号分开,除非通过解扩频的方法,恢复出水印信号,再将它在混合信号中加以抵消,才能消除水印信号。但由于水印扩频码对第三方是未知的,所以要获得扩频码信息是非常难的,尤其是当扩频码足够长时,破译扩频码的信息几乎是不可能的。因此,在这样的系统中,较好地保证了水印信息的鲁棒性。
扩频系统对干扰的抑制程度取决于扩频增益。当扩频增益足够高时,就可以很好地抑制干扰。因此,采用扩频的方法,可以很明显地提高水印信号的可靠性。同时,由于采用正常的接收处理方式,只要对有用信号不构成损害,也就不能对水印信号构成损害。反之,若损害了水印信号,必定损害有用信号。
由于扩频码字的正交性,水印的加入对扩频话音信号的正常接收不产生任何影响,反之,话音信号对水印信号亦不能够成任何影响,非常好地保证了透明性要求。
由上述可知,在语音扩频通信系统中,通过采用同体制的扩频方式,嵌入水印信号,可取得最佳的水印性能。
在假设接收端的载波和扩频本地码均能精确同步的情况下,分别对原始信息和水印信息进行解扩和解调,则有:
我们考虑解扩频解调后经过低通滤波,滤除二次谐波及高频分量,则有:
式(5)中,第一项为有用信号的输出,第二项为水印信号对有用信号的干扰,第三项为噪声的输出。由于信息扩频码字与水印扩频码字的正交性,由式(1)可知,式(5)的第二项为0,因此,嵌入的水印对原始信息没有任何影响,保证了透明性要求。在实际的应用中,由于码字不正交,水印信息对原始信息的接收有一定影响,但只要信息扩频码与水印扩频码之间的互相关系数足够小,则其影响可忽略。
同理,水印信号的解扩解调输出为
式(6)的第二项为0,原始信息对水印信息亦不够成影响。
由上述的基本原理可知,水印信号和信息信号无论在时域、频域还是空间域都混叠在一起,不能通过滤波及其它数字信号的处理方法将原始信号和水印信号分开,除非通过解扩频的方法,恢复出水印信号,再将它在混合信号中加以抵消,才能消除水印信号。但由于水印扩频码对第三方是未知的,所以要获得扩频码信息是非常难的,尤其是当扩频码足够长时,破译扩频码的信息几乎是不可能的。因此,在这样的系统中,较好地保证了水印信息的鲁棒性。
扩频系统对干扰的抑制程度取决于扩频增益。当扩频增益足够高时,就可以很好地抑制干扰。因此,采用扩频的方法,可以很明显地提高水印信号的可靠性。同时,由于采用正常的接收处理方式,只要对有用信号不构成损害,也就不能对水印信号构成损害。反之,若损害了水印信号,必定损害有用信号。
由于扩频码字的正交性,水印的加入对扩频话音信号的正常接收不产生任何影响,反之,话音信号对水印信号亦不能够成任何影响,非常好地保证了透明性要求。
由上述可知,在语音扩频通信系统中,通过采用同体制的扩频方式,嵌入水印信号,可取得最佳的水印性能。
四、仿真结果
我们利用MATLAB[5]对本文提出的水印算法进行了仿真,利用MATLAB库中所带的语音文件,将文件的前一段语音作为原始话音,而文件的后一段语音作为水印信息(当然可以利用其它信号作为水印信号,如伪随机码等),利用31位的GOLD码作为扩频地址码(GOLD码不完全正交,但其互相关函数很小)。语音信号为PAM信号,在进行扩频处理时,未经量化处理,直接对PAM信号进行扩频运算。其结果分别如图3和4所示。
我们利用MATLAB[5]对本文提出的水印算法进行了仿真,利用MATLAB库中所带的语音文件,将文件的前一段语音作为原始话音,而文件的后一段语音作为水印信息(当然可以利用其它信号作为水印信号,如伪随机码等),利用31位的GOLD码作为扩频地址码(GOLD码不完全正交,但其互相关函数很小)。语音信号为PAM信号,在进行扩频处理时,未经量化处理,直接对PAM信号进行扩频运算。其结果分别如图3和4所示。

图3所示为话音信号、水印信号及话音和水印扩频后的信号,图4所示的是话音与水印信号分别进行扩频后叠加在一起的信号波形,以及分别对话音和水印解扩频运算后的恢复的话音和水印信号。将原始话音和水印与解扩后的话音和水印信号进行比较可知,水印信号对原始话音以及话音对水印信号均不构成影响,能完全(未考虑信道中的噪声及干扰的影响)恢复话音及水印信号。
参考文献
[1]王炳锡, 陈琦, 邓峰森. 数字水印技术[M].西安: 西安电子科技大学出版社, 2003.
[2]季 隽, 童学峰, 武强. 数字音频信号的水印嵌入算法[J].计算机应用, 2003,23(7):34~36.
[3]Marvin K Simon, Jim K Omvra, Robert A Scholti,et al. SPREAD SPECTRUM Communications Handbook[M].北京:人民邮电出版社, 2002.
[4]Manning Rd N E. Spresd Spectrum Wireless Technology[J].Wi-Lan Inc.,2000.
[5]王立宁, 乐光新,詹菲. MATLAB与通信仿真[M].北京:人民邮电出版社, 2000.
[2]季 隽, 童学峰, 武强. 数字音频信号的水印嵌入算法[J].计算机应用, 2003,23(7):34~36.
[3]Marvin K Simon, Jim K Omvra, Robert A Scholti,et al. SPREAD SPECTRUM Communications Handbook[M].北京:人民邮电出版社, 2002.
[4]Manning Rd N E. Spresd Spectrum Wireless Technology[J].Wi-Lan Inc.,2000.
[5]王立宁, 乐光新,詹菲. MATLAB与通信仿真[M].北京:人民邮电出版社, 2000.
上一篇:GigaBIX配线系统
下一篇:基于信号接口的自动测试系统软件的设计与实现


