- 易迪拓培训,专注于微波、射频、天线设计工程师的培养
基于换能器解卷积的高精度超声波测距系统
摘 要: 针对窄带超声换能器" title="换能器">换能器 对测距精度的影响,采用基于横向滤波器的解卷积处理方法扩展了接收信号带宽,并利用LMS算法进行解卷积滤波器的构造。实验结果表明,这种处理方法有效提高了系统的测距精度。
关键词: 超声波测距" title="超声波测距">超声波测距 解卷积 LMS算法
超声测距系统" title="测距系统">测距系统 由于具有不受光线烟雾影响、抗电磁干扰能力强、距离信息直观、成本低、使用方便等特点,广泛应用于液位物位测量、位置角度跟踪、移动机器人定位等场合[1,2]。为了进一步用于需要高的测距、定位精度的场合,国内外提出了多种高精度超声波测距处理方法[3~6]。这些处理方法更多地针对接受到的超声信号,没有考虑到超声换能器对测距精度的影响。在“移动机器人超声导航传感器”[7]和863项目“超声地形障碍检出传感系统”中高精度超声波测距研究的基础上,本文从考虑超声波换能器对测距精度的影响出发,研究了基于换能器解卷积的超声波测距处理方法。
1 超声波换能器对测距精度的影响
考虑发射—接收工作模式的超声测距系统,以x(t)为发射信号,接收端得到的超声信号为:

其中:hTR、hRV分别为发射、接收换能器的冲激响应,hair为传输空气介质的冲激响应。超声测距系统信号流程如图1所示。

Cramer-Rao下界是时延估计" title="时延估计">时延估计 (TDE)能达到的最小误差,也即时延估计系统能达到的理论上的最佳精度。根据Cramer-Rao下界,假定信号和噪声是不相关的平稳随机过程,且信噪比SNR>>1,时延估计方差的Cramer-Rao下界为[8]:

其中T为观测窗,f1、f2分别为信号带宽的上下界。
由上述公式可知,对时延估计系统来说,信号的带宽越宽、信噪比越高、观测时间越长,系统可达到的时延估计精度越高。在信噪比和观测时间一定的条件下,信号带宽决定了时延估计的精度。
由式(1),超声测距系统接受信号的带宽取决于发射信号、发射接收换能器和空气介质,对于通常的超声测距系统,超声波换能器对信号带宽起主要作用。因为宽带发射信号可以容易地产生,空气介质的传递函数也是宽带的,而通常的气介超声波换能器为了平衡发射效率、接收灵敏度,其带宽较窄,如常用的T/R40—16型超声换能器,中心频率40kHz,3dB带宽时频率约为3.8kHz。这样,影响超声测距精度的主要是换能器的窄带频率特性。
2 基于换能器解卷积的超声测距处理方法
为了抵消换能器窄带特性对接受信号的影响,可以采取解卷积的处理方法,即构造一个冲激响应为hdecon的滤波器,对换能器冲激响应进行解卷积,使其与发射、接受换能器的联合频率响应是一个宽带响应,从而输出宽带超声信号,提高测距精度。
自适应滤波器可自动调节本身的冲激响应特性,即用自适应算法" title="自适应算法">自适应算法 调整滤波器的数字系数,然后按某种准则来判断误差信号是否最小,从而达到最优化滤波。因此,可以把经发射、接收换能器(不经过空气介质传输)的实际超声信号输入自适应滤波器,用要求的理想宽带信号作为自适应滤波器的训练信号构造滤波器。自适应算法收敛后即得到了解卷积所需的滤波器。
用自适应滤波器法构成解卷积滤波器构造的原理图如图2所示。滤波器采用横向FIR型,LMS(最小均方误差)算法。

3 LMS自适应算法介绍
设输入信号为X(k),目标信号为Y(k),滤波器输出信号为 Y′(k),则输出信号与目标信号的误差为:

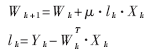
而J显然是滤波器冲激响应h(k)的函数,因此滤波的问题在数学上就是寻求使J最小的h(k)。LMS算法是常见的自适应算法。它是一种递推运算,不需要对信号的统计特性有先验的了解,而只是使用瞬时估计值根据递推得到最优解。运算得到的只是FIR滤波器权重系数的估计值,随时间的发展,权重系数逐步调整,估计值逐步改善,最终达到收敛。LMS算法中,权重按下式逐步更新:

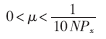
其中:Wk为第k个采样点的权重系数,ek为第k个采样点的误差,Yk为理想输出信号,μ为控制稳定性和收敛速度的系数。μ大则收敛快,但太大,算法将变得不稳定。一般按下式取值:

式中:N为FIR滤波器的长度;Px为输入信号功率,按下式计算(M为输入构造理想换能器的脉冲响应序列长度):
4 实验结果
实验设置为:发射信号x(t)为脉宽12.5μs的单脉冲;发射、接收换能器为T/R40—16;ADC为MAX153,速率1Msps,8bit;FIR滤波器权系数长度为80;以发射信号x(t)通过中心频率40kHz,带宽20kHz理想滤波器的输出信号作为构造解卷积滤波器的训练信号。
从图3的实验结果可以看出,与未经解卷积处理的接收信号比较(时域波形图3A,频率域图3B),采用构造好的滤波器对换能器特性进行解卷积后得到的接收超声信号(图3C)带宽明显变宽(图3D),信号的相关峰明显尖锐化(处理前图3E,处理后图3F),最大相关伪峰衰减从-0.346dB显著提升为-1.278dB,提高了信号检测精度。图4所示为采用换能器解卷积处理后的超声相关法测距的精度情况,可以看到系统测距精度有了明显的提高,10m内测距精度达6.6mm[9]。


为了提高超声波测距系统的测距精度,通过自适应算法构造用于抵消换能器窄带特性的解卷积滤波器,采用换能器解卷积的测距精度比原始的测距精度有明显的提高。这种换能器解卷积处理方法同样可适用于其他类似的传感系统。
参考文献
1 华 宏,王涌天,常 红.连续超声波位置跟踪器的设计原理及其在虚拟现实系统中的应用实现.电子学报,1999;(11):98~101
2 钟道昌.三点式超声测距测角装置.测控技术,1999;(4):39~41
3 杨劲松,王 敏,黄心汉. 超声波可变阈值测距转置.电子技术应用,1998;24(7):7~9
4 翟国富,刘茂恺. 一种实时高精度的机器人用超声波测距处理方法.应用声学,1995;(3):35~38
5 J. F.Figueroa,E.Doussis,A Hardware-level Method to Improve the Range and Accuracy of an Ultrasonic
Ranging System,ACUSTICA 1993;(78):226~232
6 童 峰,许水源,许天增.一种高精度超声波测距处理方法.厦门大学学报,1998;(4):507~512
7 童 峰,许天增.一种移动机器人超声导航传感器.中国2000年机器人学大会报告,长沙:2000年10月22~25日
8 鞠德航,林可祥,陈捷. 信号检测理论导论.北京:科学出版社,1977:107~132
9 童 峰.自动导引车(AGV)超声导引系统研究.厦门大学博士学位论文,2000
上一篇:2008第九届有奖征文竞赛结果现已揭晓
下一篇:光电码盘四倍频分析


