- 易迪拓培训,专注于微波、射频、天线设计工程师的培养
在线间歇式浊度仪的研究
录入:edatop.com 点击:
摘 要:根据浊度测量理论推导出液体浊度的散射光测量公式,选用波长>800nm的红外发光管和硅光电池作为光电变换元件,并采用间歇式静态测量方法设计了分析流程,消除了色度和气泡对测量的影响。
关键词:浊度仪;在线测量;间歇式;散射光
Research of Intermittent Type Turbidimeter On-line
SUN Mojie1, MO Zongbao1, ZHAO Yanlei2, CUI Jiuli1
(1.Northeast China Institute of Electric Power Engineering, Jilin 132 012, China;
2.Institute of Electrical Engineering of CAS, Beijing 100080, China)
Abstract: Based on turbidity measurement theory, we conducted th e measurement formula of the scattering light, and used infrared light emitting di o de and silicon photocell with the wave length>800nm as photoactor. Using the m ethod of intermittent type measurement, we designed an analysis process to disso lv e the influence of color and bubbles in turbidity measurement.
Key words: turbidimeter; on-line measurement; intermittent; sca tter light
1浊度测量原理
水中的浑浊粒子受到光照射时,如其粒度远小于入射光波长(约为入射光波长的1/10~1/20以下),粒子对光的作用主要是散射。与透射式不同,散射式浊度仪的检测元件与入射光成90°,如图1所示。

当光强为I0的入射光通过厚度为dx的水样时,透射光衰减了dIx,则有

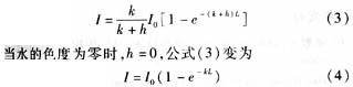
式中k为散射系数,h为样品的吸收系数。对式(1),Ix从I0到IT,x从0到L积分得透射光强IT,公式为

散射光强公式为

从公式(4)可知,散射光与浊度并非严格的线性关系;要使仪器满足2%的精度,需对仪器进行标定。首先以零浊水调整仪器零点,再以100、400、1000NTU的标准水样作三点标定,求出三段的斜率,存入微机。测量时以所测值乘以相应的斜率得出浊度值。
2间歇式在线浊度仪的硬件设计
2.1发光光源的选择
光源的稳定性关系到仪器测量的准确性和重现性,直接决定了仪器的整机性能。
选用波长为800nm的红外发光二极管作为光源,并以恒流源稳定光源,以峰值波长为820nm的硅光电池作为光电检测元件,电路如图2。红外LED寿命长、发射光强度稳定,波峰值>800nm,即使样品浓度很低仍能保证有足够的散射光强度,并且减少色度的干扰,可以测量各种颜色的样品的浓度。


2.2测量电路的设计
根据测量原理设计了测量电路如图3所示。仪器放大电路选用了美信公司的MAX412芯片构成精密的匹配电路。由于两个硅光电池特性相同,电路相匹配,使得测量光电池和参比光电池的漏电流在电路中相互抵消,电路中的共模信号也得到了抑制,具有较高的共模抑制比。
中央处理器采用了C8051F020。测量信号经放大后由C8051F020片内的交叉开关选通,调节增益后送ADC0进行A/D转换并存储。UART0工作在方式3,UART0 TX和RX分别接C8051F020的P0.0、P0.1,测量的浊度和温度值以UART0串行方式送液晶显示器显示。
3仪器分析流程
在工业现场的浊度测量中,不可避免的有气泡存在,当气泡通过测量光路时散射光强发生波动,造成虚假的高浊度读数,影响了测量的准确性。为了消除气泡的影响,本仪器采用间歇式静态测量法设计了分析流程,如图4所示。电磁阀开通注入待测水样,启动延时程序。延时结束关闭电磁阀,静置水样使气泡逸出,测量水样的浊度。测量结束重新开通电磁阀,排出已测水样并注入新水样。C8051F020单片机的指令执行速度是8051单片机的10倍,因此测量时间非常短,可以满足在线实时测量的要求。浊度检测器底部设有机械搅拌式清洗器,用于光窗的定期自动清洗。

4浊度仪的程序设计
在线间歇式浊度仪的软件系统包括测量子程序、按键处理子程序、串行通信子程序、量程校正子程序、主菜单处理子程序。主程序流程如图5所示。在没有按键按下的情况下,进样阀开注入水样,经延时后,判断定时器T2是否溢出。T2溢出,经过一定时间,对检测器光窗进行自动清洗;反之,程序进入测量子程序。仪器设有主菜单、增加、减少、确定、取消、复位共六个面板控制键。当有键按下时程序进入按键处理子程序,对键值进行判断处理。主菜单键按下时显示主菜单界面,包括测量、历史曲线查询、暗电流校正和量程校正选择。量程校正选择分为0~100NTU、100~400NTU、400~1000NTU三段,以100NTU、400NTU、1000NTU标准水样标定出三段的斜率。

5结论
仪器标定后投入运行,测量结果稳定,线性误差±2%FS,表明基于间歇式静态测量方法设计的分析流程能够消除气泡对浊度测量的影响。采用C8051F020单片机使得仪器结构简单,并以机械搅拌式清洗器定时清洗光窗,满足了在线实时测量的要求,可供水厂、电厂、食品加工厂、制药工业对水样浑浊度的测定,也可用于监测天然水,废水处理终值测定,制酒行业EBC浊度测量。
参考文献
[1]承慰才,孙墨杰,等.电厂化学仪表[M].中国电力出版社,1999.
[2]Dag Hogve and Gunvor Akesson.Comparison of Nephelometric Turbidity Measurements Using Wavelengths 400—600 and 800nm[J].Wat.Res,1998,32(10).
[3]高经伍,等.激光在浊度测量中的应用[J].激光技术,1999,(8).
作者:孙墨杰1,莫宗宝1,赵彦蕾2,崔久利1(1.东北电力学院,吉林132012;2.中科院电工研究所,北 来源:仪表技术
关键词:浊度仪;在线测量;间歇式;散射光
Research of Intermittent Type Turbidimeter On-line
SUN Mojie1, MO Zongbao1, ZHAO Yanlei2, CUI Jiuli1
(1.Northeast China Institute of Electric Power Engineering, Jilin 132 012, China;
2.Institute of Electrical Engineering of CAS, Beijing 100080, China)
Abstract: Based on turbidity measurement theory, we conducted th e measurement formula of the scattering light, and used infrared light emitting di o de and silicon photocell with the wave length>800nm as photoactor. Using the m ethod of intermittent type measurement, we designed an analysis process to disso lv e the influence of color and bubbles in turbidity measurement.
Key words: turbidimeter; on-line measurement; intermittent; sca tter light
1浊度测量原理
水中的浑浊粒子受到光照射时,如其粒度远小于入射光波长(约为入射光波长的1/10~1/20以下),粒子对光的作用主要是散射。与透射式不同,散射式浊度仪的检测元件与入射光成90°,如图1所示。

当光强为I0的入射光通过厚度为dx的水样时,透射光衰减了dIx,则有

式中k为散射系数,h为样品的吸收系数。对式(1),Ix从I0到IT,x从0到L积分得透射光强IT,公式为

散射光强公式为

从公式(4)可知,散射光与浊度并非严格的线性关系;要使仪器满足2%的精度,需对仪器进行标定。首先以零浊水调整仪器零点,再以100、400、1000NTU的标准水样作三点标定,求出三段的斜率,存入微机。测量时以所测值乘以相应的斜率得出浊度值。
2间歇式在线浊度仪的硬件设计
2.1发光光源的选择
光源的稳定性关系到仪器测量的准确性和重现性,直接决定了仪器的整机性能。
选用波长为800nm的红外发光二极管作为光源,并以恒流源稳定光源,以峰值波长为820nm的硅光电池作为光电检测元件,电路如图2。红外LED寿命长、发射光强度稳定,波峰值>800nm,即使样品浓度很低仍能保证有足够的散射光强度,并且减少色度的干扰,可以测量各种颜色的样品的浓度。


2.2测量电路的设计
根据测量原理设计了测量电路如图3所示。仪器放大电路选用了美信公司的MAX412芯片构成精密的匹配电路。由于两个硅光电池特性相同,电路相匹配,使得测量光电池和参比光电池的漏电流在电路中相互抵消,电路中的共模信号也得到了抑制,具有较高的共模抑制比。
中央处理器采用了C8051F020。测量信号经放大后由C8051F020片内的交叉开关选通,调节增益后送ADC0进行A/D转换并存储。UART0工作在方式3,UART0 TX和RX分别接C8051F020的P0.0、P0.1,测量的浊度和温度值以UART0串行方式送液晶显示器显示。
3仪器分析流程
在工业现场的浊度测量中,不可避免的有气泡存在,当气泡通过测量光路时散射光强发生波动,造成虚假的高浊度读数,影响了测量的准确性。为了消除气泡的影响,本仪器采用间歇式静态测量法设计了分析流程,如图4所示。电磁阀开通注入待测水样,启动延时程序。延时结束关闭电磁阀,静置水样使气泡逸出,测量水样的浊度。测量结束重新开通电磁阀,排出已测水样并注入新水样。C8051F020单片机的指令执行速度是8051单片机的10倍,因此测量时间非常短,可以满足在线实时测量的要求。浊度检测器底部设有机械搅拌式清洗器,用于光窗的定期自动清洗。

4浊度仪的程序设计
在线间歇式浊度仪的软件系统包括测量子程序、按键处理子程序、串行通信子程序、量程校正子程序、主菜单处理子程序。主程序流程如图5所示。在没有按键按下的情况下,进样阀开注入水样,经延时后,判断定时器T2是否溢出。T2溢出,经过一定时间,对检测器光窗进行自动清洗;反之,程序进入测量子程序。仪器设有主菜单、增加、减少、确定、取消、复位共六个面板控制键。当有键按下时程序进入按键处理子程序,对键值进行判断处理。主菜单键按下时显示主菜单界面,包括测量、历史曲线查询、暗电流校正和量程校正选择。量程校正选择分为0~100NTU、100~400NTU、400~1000NTU三段,以100NTU、400NTU、1000NTU标准水样标定出三段的斜率。

5结论
仪器标定后投入运行,测量结果稳定,线性误差±2%FS,表明基于间歇式静态测量方法设计的分析流程能够消除气泡对浊度测量的影响。采用C8051F020单片机使得仪器结构简单,并以机械搅拌式清洗器定时清洗光窗,满足了在线实时测量的要求,可供水厂、电厂、食品加工厂、制药工业对水样浑浊度的测定,也可用于监测天然水,废水处理终值测定,制酒行业EBC浊度测量。
参考文献
[1]承慰才,孙墨杰,等.电厂化学仪表[M].中国电力出版社,1999.
[2]Dag Hogve and Gunvor Akesson.Comparison of Nephelometric Turbidity Measurements Using Wavelengths 400—600 and 800nm[J].Wat.Res,1998,32(10).
[3]高经伍,等.激光在浊度测量中的应用[J].激光技术,1999,(8).
作者:孙墨杰1,莫宗宝1,赵彦蕾2,崔久利1(1.东北电力学院,吉林132012;2.中科院电工研究所,北 来源:仪表技术


