- 易迪拓培训,专注于微波、射频、天线设计工程师的培养
采用随机射线方法预测城市环境的无线电波传播
0 引言
对城市地区进行无线电频谱监测时,经常会遇到对特定区域内发射台站的功率(或场强)分布进行预测的问题。为了实时掌握城区范围内的电磁环境状况,更好地维护城市的空中电波秩序,无线电管理部门需要使用各种有效手段对无线电波传播的功率分布进行预测。
通常,对无线电波传播规律的研究,主要集中在给定范围内平均接收功率的预测和特定位置附近功率的变化上,由此可以得到无线电波传播的路径损耗模型,用于估计无线覆盖范围的链路预算。该问题描述的是发射机与接收机之间长距离范围内功率的变化,因此所得模型被称为大尺度传播模型。无线电波在室外传播环境的平均接收功率或路径损耗课题研究,对于移动通信网中的干扰分析、基站选址等网络规划具有重要价值。
移动无线信道在距离发射机r米处的平均接收功率是r的幂函数。以这种方式表示的无线电波传播的功率路径损耗关系,在无线网络的规划与设计中得到了大量的应用,但该模型很少考虑实际传播环境的几何拓扑结构对功率分布的影响。以城市密集传播环境为例,诸如传播环境中散射体的分布特性、散射体之间的平均间距等传播环境的几何参量,并未被考虑进该模型。本文采用随机射线方法,结合渗流理论,从非波动方法角度,研究无线传播信道中的电波传播,得到平均接收功率的解析公式和路径损耗预测模型,并给出基于典型城区的案例分析,以验证随机射线方法的有效性。
1 短程无线信道平均接收功率计算模型
在短程无线信道平均接收功率计算模型中,确定无线电系统实际通信距离、覆盖范围和无线电干扰影响范围等参量时,需要研究无线电传播损耗这一关键参数。若没有合理的频率指配和严格的系统设计与场强预测,无线电通信系统之间将产生严重干扰。为了保证无线电通信用户的通信质量,确保无线电波发射的业务覆盖和电波传播的可靠程度,需仔细计算从发射天线到接收天线之间的传播损耗。从理论上讲,自由空间里无线电波的传播损耗大小与传播距离的平方及使用频率的平方成正比关系。但是在确定无线电系统实际通信距离、覆盖范围和无线电干扰影响范围时,需要同时考虑在传播路径上存在着的各种因素。无线电波传播模型通常比较复杂,因此,我们需对不同的频段使用不同的电磁波传播模型,以预测发射台覆盖和传播场强。
1.1 传统的预测模型
窄带移动无线信道在距离发射机r米处的平均接收功率是r的幂函数,计算模型如下式所示:
(1)
式中PTx为发射天线的功率,Gt和Gr分别为发射天线和接收天线的辐射增益,n是损耗指数,λ为载波的波长;Y~N(0,)为受测量过程中各种随机因素,以及阴影效应所产生的功率波动影响;式中各变量的单位均为dB。
式(1)假设在无线信道中存在对数正态阴影衰落效应,目前这个假设已经被普遍接受。以这种方式表示的无线电波传播的平均接收功率或功率路径损耗关系,在无线网络的规划与设计中得到了大量的应用。该模型为一个单断点线性模型,没有考虑到实际传播环境的几何拓扑结构对功率分布的影响。比式(1)稍微复杂的为多断点模型,包括了多个损耗指数,但难以在实际的工程应用中使用。
1.2 基于随机射线方法的预测模型
渗流网格是一个很好的城市无线传播环境物理模型。二维位置渗流网格如图1 所示。如果我们把城市建筑物建模为二维位置渗流网格,则主要街道的宽度就是传播环境的一个几何参数,可以当作网格几何参数a。由渗流网格构成的无线信道,称为随机网格信道。在随机网格信道中传播的无线电波,其传播轨迹的反射点在传播空间随机分布。随机网格信道中的多径传播轨迹可看作是某个随机过程的样本,传播的无线电波称为随机射线。

(图1 位置渗透网格,其中网格几何参数a=2,p=0.3,0.5,0.7,0.9)
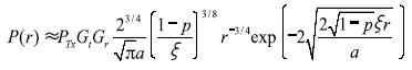
有专家系统地研究了无线信道的路径损耗,得到基于城市密集环境下在位置r处平均接收功率的计算模型,如式(2)所示:
(2)
上一篇:低噪声放大器在电磁环境测试工程中的应用
下一篇:中国强制性认证(CCC)介绍


