- 易迪拓培训,专注于微波、射频、天线设计工程师的培养
电力变压器直流电阻的快速测量方法----动态测量法
2.2动态测量法
动态测量法不需要等到稳定后再测量直流电阻值,而是利用电感线圈充电过程中的电压、电流数据来测量计算其电阻等参数的方法。
2.2.1二阶振荡法
二阶振荡法测量原理电路如图2-8所示

开关K闭合后的回路电压方程为

电流方程为

初始条件为

解得:

其中

通常Rn+Rx<<2Lx,则δ<<1,振荡频率ω主要由参数 Lx、C决定。可见,在测量回路中串入电容,人为的将一阶指数衰减电路改变成二阶小阻尼振荡电路,导致回路中的电流产生极点(di/dt=0)。又因为绕组的电感压降UL = Lx (di/dt),当di/dt=0时,UL= 0,因此消除了电感压降的影响,可以快速测量直流电阻值。
2.2.2基于同一化原理的动态测试法
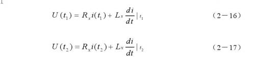
基于同一化原理的动态测试法如图2-9所示

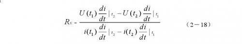
电路在充电过程中的t1及t2两时刻应分别满足下面两个方程

式中除绕组的电阻Rx和电感Lx外,其余各参数可直接测得或间接求得,因此可求出Rx

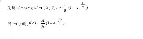
对不同电力变压器测出的电阻值误差相差很大,经过分析和仿真研究,发现起主要原因是电力变压器的电阻及时间常数相差很大,从而使其充电电流曲线相差大造成的。为此,可通过改变外电源电压和外串电阻的阻值,达到不同电力变压器其充电电流曲线几乎完全一样,从而提高测量的精度。


规定同一化后的时间常数为定值D(s),稳态电流为F(A),可以求出同一化的R′和E′的值

按上式调整外电路的电阻R′和E′后,测量电路同一化,测量装置所面对的不同待测变压器时就好像同一台试品,使各种参数的电力变压器都能得到同样好的测量精度。
2.2.3三点法
电力变压器的绕组可等效于绕组电感L与绕组电阻R的串联电路,当直流电源施加于被测绕组时,电流i (t )随时间t按指数规律变化

由上式知,i (t )是t的单调递增函数,随着时间t的增长,当t→∞时,i(t )= I0,i (t )随时间的变化如2-10图所示。



通过以上分析可以看到,只要用相同的时间间隔t测取3个电流值,就可以求得电力变压器绕组的直流电阻。
上一篇:大牛告诉你:不容忽视的电机测试细节控制精度
下一篇:高精度功率分析仪是如何炼成的?


