- 易迪拓培训,专注于微波、射频、天线设计工程师的培养
高阻器件低频噪声测试技术与应用研究--用于聚合物钽电容的漏电流噪声研究
4.4.4聚合物钽电容的损伤与噪声之间的关系
本研究对钽电容进行了过电压损伤下的漏电流噪声测试和反向电压损伤下的漏电流噪声测试,研究了这两种情况下噪声与损伤程度的关系,并对该关系进行了理论分析。
(1)过电压损伤与噪声之间的关系
本实验对AVX公司型号为157C的聚合物钽电容在一定偏压下进行了漏电流噪声测试,研究了的过电压损伤与噪声之间的关系。该器件额定工作电压为16V,标称容值为150uf,实际容值为136uF.我们在16V、20V、25V这三个电压下对器件施加了10秒、30秒和50秒的直流偏压,测试了这三种不同电应力老化时间下的噪声功率谱密度和漏电流,观察在老化过程中器件的噪声变化。最后提取了该器件的各种噪声参数。
实验结果中出现了一种特殊的现象。结果显示该电容的漏电流噪声对器件的过电压损伤非常敏感,噪声幅值与器件损伤程度成反比。然而传统钽电容的噪声幅度都与损伤程度成正比。测试结果还反映了该器件具有很好的耐压可靠性。在16V、20V的过电压下该电容的容值和漏电流无明显变化,同时噪声也无明显降低。当偏压提高到25V时,该器件的容值和漏电流均出现了较大的波动,同时噪声随着老化损伤时间的增加开始降低。
从图4.15可以看到功率谱密度在1Hz-3Hz上的电容噪声幅度随器件的老化时间的增长而下降,降低幅可达一个数量级。这种特殊的现象可以通过钽电容的内部微观缺陷和高分子导电聚合物的特性来解释。任何一个电容内部的绝缘介质都不是完全连续的,在绝缘表面的某些地方会产生裂缝或者空洞,形成导电回路,电流流经这些导电回路形成了漏电流。这些导电回路中的漏电流流过阴极在阴极上产生功耗,使电容内部局部温度慢慢上升,因此这些裂缝或者空洞是导致电容失效的主要原因。当电容的局部温度升高到一定温度时,会将阴极导电高分子材料蒸发,使连接阳极和阴极的导电回路断开,该过程如图4.16所示。这就是聚合物钽电容的自愈过程。这种微观结构上的回路断开反映到宏观现象上就是出现漏电流的减少。又由于漏电流与漏电流噪声幅度成正比,因而电流功率谱密度降低。老化时间越长,器件内部的局部高温点就越多,并且局部高温点会逐渐向周围扩散,这就会导致被断开的回路越多,因而噪声降低的幅度越大。

漏电流噪声的功率谱密度幅值对电流密度的变化很敏感。由于器件中缺陷部位的电流密度会有较大变化,因此器件内部的缺陷越多,其漏电流噪声的异常越明显,所以漏电流噪声可以作为表征聚合物钽电容可靠性的指标。
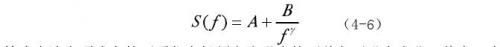
在整个实验过程中通过Matlab软件对噪声曲线进行了低频噪声标准模型的拟合,低频噪声标准模型如(4-6)式所示:

等式右边多项式中的两项代表低频电流噪声的两种主要噪声成分,其中A为白噪声幅度,B为1/f噪声的幅度,γ为频率指数。频率指数的值通常约为1,如果该值较大,说明器件中含有爆裂噪声。爆裂噪声表现在功率谱密度曲线上为洛伦兹谱。
拟合数据显示不同电应力条件下,该类器件的1/f噪声幅度有所不同,但其白噪声幅值始终稳定在1×10-21 A2/Hz.频率指数为1.81,这说明该类器件的噪声频谱中含有微弱的洛伦兹谱。
(2)反向电压老化与噪声之间的关系
接下来本文对型号为157T的聚合物钽电容施加了2.5V反向应力,测试了不同反向应力时间后的电容噪声和漏电流,研究了低频噪声与器件反向应力损伤之间的关系。该器件额定工作电压为50V,标称容值为150uf,实际容值为136uF.

上一篇:工业运动控制中的测量技术
下一篇:使用正确的数据采集模式


