- 易迪拓培训,专注于微波、射频、天线设计工程师的培养
高阻器件低频噪声测试技术与应用研究--低频噪声测试技术理论
第二章低频噪声测试技术理论
本章主要阐述了低频噪声的物理基础、测试技术的要求和实现方案。
2.1噪声的物理理论
2.1.1低频噪声的定义
当给器件(如电阻器、电容器)两端施加直流偏压V时,器件内部电荷会产生定向移动形成电流,但是该电流的瞬时值却是随机涨落的,因此测试器件两端电压时实际测得的是直流电压V(或电流I)和随机涨落导致的交流电压Vn(或电流In)两种成分的叠加。
这种涨落是由器件内载流子的随机涨落和器件中的缺陷对载流子的随机俘获、释放以及晶界势垒对载流子的散射等多种原因导致的。我们将这种电流的随机涨落称为噪声。如图2.1所示,将样品R接入电路时,不仅有直流源V的作用,电路中还会产生低频噪声,一般将其等效为电路中的一个交流信号源V n。

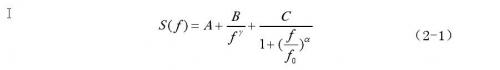
噪声信号虽然微弱但其包含信息丰富,由不同机理产生的电流噪声具有不同的频率分布特性。由于一般导电样品中噪声信号十分微弱,因此对样品噪声进行有效的分析需要放大倍数足够大和频带范围足够宽的放大器对噪声信号进行充分放大。研究表明电子器件与材料中噪声主要由三种噪声成分组成,分别为白噪声(主要为热噪声和散粒噪声)、1/f噪声和G-R噪声。噪声的功率谱密度公式如下:

等式右边多项式中的三项代表电流噪声是由三种噪声成分组成的,其中A为白噪声幅度,B为1/f噪声的幅度,γ为频率指数因子,C为g - r噪声的幅度、f 0和α分别为g- r噪声转折频率和指数因子;等式左边的S(f)是噪声的功率谱密度,其中f是频率。由于上述三种噪声分布在低频段,所以我们通常关注的是器件的低频段的噪声,简称低频噪声。
2.1.2噪声的物理理论基础

器件常见噪声的完整分类如图2.2所示。电子器件中的低频噪声可分为四类:热噪声、散粒噪声、g-r噪声和1/f噪声。这四种噪声的性质各不相同,噪声测试技术的应用中主要考虑g-r噪声和1/f噪声,因为这两种噪声与器件的缺陷直接相关,是低频噪声研究领域中的主要研究对象。
2.1.2.1热噪声
热噪声是一种在电阻性元件中普遍存在的噪声。处于绝对零度以上的导体中的载流子都会做无规则的热运动,载流子这种无规则的热运动就是热噪声的微观表现。大量载流子无规则热运动的总体效应就是器件两端电压(或电流)的起伏。
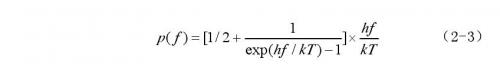
载流子这种无规则的起伏就是热噪声,这种噪声又称为Johnson噪声,以纪念最早发现它的科学家Johnson.热噪声的完全表达式如(2-2)式所示:

上式中f是频率,k为玻尔兹曼常数,R为等效电阻,T为温度(2-2)式中p(f)成为普朗克因子,由下式定义:


上式就是在一般的频率和温度下,热噪声的表达式,E的单位为V 2。
从以上理论中我们可以看到热噪声的一些特性。由(2-4)式我们可以看到热噪声在功率谱密度曲线上为一条直线。如果已知器件的等效电阻,便可计算出器件在不同温度下的热噪声,而不需要实际测量,这一点与1/f噪声需要实际测试才能得到有很大不同。根据(2-4)式还可以计算出器件的等效噪声电压(或电流)。这种由热噪声导致的等效噪声电压(或电流)在给定的温度下,是无法消除的,因而在一些传感器当中,由热噪声导致的等效噪声电压(或电流)直接决定了系统的分辨率。降低噪声测试系统中放大器本底噪声的一种手段就是将整个系统置于液氮或液氦的低温系统之中,通过降低温度来降低热噪声,提高系统分辨率。值的注意的一点是,热噪声是一种普遍现象,这是由物质分子热运动的本性决定的,因此不管是否给器件施加直流偏压,器件中的热噪声都是存在的。测试了不同栅材料的低频噪声,以噪声量级作为指标,寻找低噪声的材料来改进工艺。第三,应用于可靠性表征。器件尺寸缩小后,MOS电容中各种隧穿电流(FN隧穿,直接隧穿,由电应力导致的氧化层陷阱隧穿)噪声对系统影响越来越明显。有研究者研究了各种隧穿电流噪声与CMOS超大规模集成电路可靠性之间的关系。


